图谱信息 供应商 相关产品
网站主页CAS数据库列表 76-60-8更多图谱溴甲酚绿(76-60-8)红外图谱(IR2)

溴甲酚绿

产品名称 溴甲酚绿

CAS号76-60-8

分子式C21H14Br4O5S

分子量698.01

展开


  • Mass

    MS2012-04757CW      
    bromocresol green
    C21H14Br4O5S        (Mass of molecular ion:    694)
    

       Source Temperature: 250 °C
       Sample Temperature:  50 °C
       Direct, 70 eV
    

          15.0       1.0
          16.0       1.8
          17.0      14.3
          18.0      64.2
          27.0       2.1
          28.0      18.1
          29.0       2.8
          31.0       1.2
          32.0       4.3
          36.0       1.2
          39.0       3.9
          40.0       1.4
          41.0       5.3
          42.0       1.3
          43.0       9.4
          44.0      28.4
          45.0       2.2
          48.0       6.5
          50.0       2.8
          51.0       5.3
          52.0       1.0
          53.0       3.3
          55.0       5.7
          56.0       2.2
          57.0       7.7
          60.0       2.9
          61.0       1.0
          62.0       1.0
          63.0       2.9
          64.0      13.4
          65.0       1.5
          67.0       6.0
          68.0       1.2
          69.0       4.7
          70.0       2.5
          71.0       4.8
          72.0       1.3
          73.0       3.3
          74.0       2.4
          75.0       7.8
          76.0       9.3
          77.0      11.4
          78.0       2.5
          79.0      31.5
          80.0      78.0
          81.0      31.4
          82.0      75.0
          83.0       3.8
          84.0       1.3
          85.0       3.0
          86.0       1.3
          87.0       3.4
          88.0       2.5
          89.0       1.9
          91.0       1.9
          93.0       1.8
          93.5       2.8
          94.5       1.9
          95.0       1.1
          96.0       1.3
          97.0       3.4
          98.0       1.6
          99.0       3.5
         100.0       6.2
         101.0       4.7
         102.0       1.5
         103.0       1.3
         104.0       4.1
         105.0       7.6
         106.0       3.8
         106.5      10.3
         107.5       2.0
         109.0       1.7
         110.0       1.3
         111.0       2.9
         112.0      12.6
         113.0      16.2
         113.5       3.7
         115.0       3.2
         116.0       1.0
         118.0       5.2
         118.5      17.2
         119.5      22.6
         121.0       5.7
         122.0       1.7
         123.0       1.6
         124.0       3.4
         125.0      11.8
         126.0       7.5
         126.5       1.2
         127.0       2.7
         127.5       7.7
         129.0       3.0
         131.0       1.6
         133.0       5.3
         134.0      18.3
         134.5      12.5
         135.5       3.3
         137.0       4.0
         138.0       2.4
         139.0       4.9
         140.0       3.1
         141.0       2.8
         142.0       5.0
         143.0       4.6
         143.5       1.2
         147.0       1.0
         148.0       6.7
         149.0      18.7
         150.0       8.8
         151.0      10.2
         152.0      18.3
         153.0      13.7
         154.0       1.7
         155.0       3.8
         156.0       3.6
         157.0      12.0
         157.5       3.3
         159.0       1.0
         160.0       1.0
         161.0       2.3
         162.0       2.9
         163.0      14.8
         164.0      10.6
         165.0      10.8
         166.0       1.7
         166.5       1.8
         167.0       1.9
         167.5       1.6
         169.0       1.2
         172.0       1.0
         173.0       2.5
         174.0       6.1
         175.0       4.5
         176.0       4.5
         177.0       1.5
         178.0       1.0
         179.0       2.0
         180.0       3.6
         181.0      17.1
         182.0       5.8
         183.0       2.6
         184.0       3.2
         185.0       3.8
         186.0       3.4
         187.0       8.5
         188.0       9.4
         189.0      11.8
         189.5       2.5
         190.0       1.1
         192.0       1.5
         193.0       1.4
         194.0       1.8
         195.0       1.5
         196.0       1.7
         196.5       6.2
         197.5       6.2
         199.0       3.8
         200.0      11.4
         201.0       6.2
         202.0       7.1
         203.0       2.2
         205.0       1.2
         207.0       2.4
         208.0       1.3
         209.0       6.1
         210.0       3.3
         211.0       7.1
         212.0       4.4
         213.0      14.2
         214.0       4.5
         215.0       4.7
         216.0       1.6
         218.0       1.6
         219.0       1.0
         220.0       1.4
         221.0       2.1
         222.0       2.9
         223.0       3.9
         224.0      18.1
         225.0      12.3
         226.0      24.1
         227.0       7.6
         228.0       1.6
         228.5       1.6
         229.0       2.0
         229.5       1.6
         230.0       1.7
         231.0       2.3
         232.0       1.1
         233.0       1.1
         235.0       4.1
         236.0       3.9
         237.0      22.0
         238.0      11.8
         239.0      36.4
         240.0      12.5
         241.0       5.4
         242.0       5.2
         243.0       3.5
         244.0       2.1
         245.0       2.7
         246.0       1.5
         248.0       2.0
         249.0       1.5
         250.0       5.8
         251.0       3.4
         252.0       4.1
         253.0       6.2
         254.0       4.2
         255.0      17.8
         256.0       6.8
         257.0       3.2
         258.0       1.7
         259.0       5.1
         260.0       3.0
         261.0       5.1
         262.0       2.8
         263.0       2.4
         264.0       2.1
         265.0       4.2
         266.0       3.8
         267.0       4.8
         268.0      20.4
         269.0      22.2
         270.0       8.6
         271.0       4.9
         272.0       4.2
         273.0       2.7
         274.0       4.0
         275.0       2.4
         279.0       3.6
         280.0       1.6
         281.0       6.1
         282.0       2.7
         283.0       3.0
         284.0       6.0
         285.0       4.4
         286.0       1.8
         287.0      10.6
         288.0       9.6
         289.0      12.6
         290.0       9.9
         291.0       6.4
         292.0       3.4
         293.0       9.5
         294.0       3.2
         295.0       5.0
         296.0       2.7
         297.0       9.7
         298.0      13.8
         299.0       4.9
         300.0       3.0
         301.0       1.2
         304.0       2.5
         305.0       1.6
         306.0       2.6
         307.5       2.9
         308.5       8.6
         309.5       8.9
         310.5       3.5
         311.0       2.3
         312.0       1.0
         313.0       1.5
         314.0       1.2
         317.0       1.9
         318.0       1.3
         319.0       1.9
         320.0       2.1
         321.0       1.5
         322.0       2.3
         323.0       1.6
         324.0       1.5
         325.0       1.2
         331.0       1.6
         332.0       2.0
         333.0      11.3
         334.0       5.0
         335.0      11.1
         336.0       4.8
         337.0       3.4
         338.0       1.9
         339.0       3.0
         341.0       1.5
         346.0       5.1
         347.0       8.7
         348.0       9.6
         349.0      11.4
         350.0       7.8
         351.0       7.3
         352.0       6.0
         353.0       9.0
         354.0       4.4
         355.0       5.3
         356.0       1.2
         359.0       2.3
         360.0       2.6
         361.0       4.0
         362.0      19.1
         363.0       7.8
         364.0      18.3
         365.0       6.9
         366.0       3.9
         367.0       3.3
         368.0       5.7
         369.0       5.3
         370.0       4.0
         371.0       3.3
         372.0       1.1
         373.0       1.1
         375.0       7.5
         376.0      15.3
         377.0      13.8
         378.0      20.0
         379.0      10.6
         380.0       7.2
         381.0       4.4
         382.0       2.0
         383.0       1.3
         384.0       2.1
         385.0       1.2
         386.0       1.4
         387.0       1.4
         389.0       1.7
         391.0       1.3
         392.0       1.5
         393.0       1.3
         394.0       1.6
         395.0       1.2
         397.0       1.2
         398.0       1.0
         399.0       1.3
         400.0       1.2
         401.0       1.4
         402.0       1.1
         403.0       1.5
         405.0       1.0
         411.0       2.3
         412.0       1.5
         413.0       4.5
         414.0       2.6
         415.0      15.0
         416.0       3.9
         417.0      25.0
         418.0       4.7
         419.0      13.5
         420.0       2.8
         421.0       1.3
         422.0       1.0
         424.0       1.2
         425.0       1.5
         426.0       2.7
         427.0       3.9
         428.0       5.0
         429.0       6.9
         430.0      14.3
         431.0      18.0
         432.0      24.3
         433.0      25.5
         434.0      14.8
         435.0      12.8
         436.0       2.7
         437.0       1.5
         439.0       1.7
         440.0       7.3
         441.0       6.1
         442.0      14.3
         443.0      10.6
         444.0       9.5
         445.0       7.4
         446.0       3.0
         447.0       2.1
         448.0       1.0
         453.0       1.9
         454.0       6.4
         455.0       8.0
         456.0      23.1
         457.0      20.3
         458.0      32.1
         459.0      23.8
         460.0      18.9
         461.0      11.0
         462.0       4.3
         463.0       1.7
         464.0       1.1
         471.0       1.0
         472.0       1.4
         473.0       1.8
         474.0       1.7
         475.0       1.7
         476.0       1.0
         508.0       2.1
         509.0       1.3
         510.0       2.3
         512.0       1.0
         518.0       1.5
         519.0       1.2
         520.0       4.7
         521.0       4.4
         522.0       7.5
         523.0       8.3
         524.0       7.3
         525.0       7.3
         526.0       3.9
         527.0       2.9
         528.0       1.1
         533.0       1.9
         534.0      21.4
         535.0      24.3
         536.0      77.4
         537.0      66.8
         538.0     100.0
         539.0      70.0
         540.0      50.4
         541.0      28.3
         542.0       8.1
         543.0       3.5
         551.0       1.2
         552.0       1.1
         553.0       2.4
         554.0       1.3
         555.0       2.1
         586.0       1.3
         588.0       2.2
         590.0       1.9
         599.0       4.7
         600.0       7.2
         601.0      19.3
         602.0      21.4
         603.0      31.3
         604.0      23.9
         605.0      23.4
         606.0      10.9
         607.0       6.9
         608.0       1.8
         612.0       3.0
         613.0       4.1
         614.0      13.6
         615.0      21.8
         616.0      28.3
         617.0      43.9
         618.0      33.0
         619.0      42.1
         620.0      21.5
         621.0      19.3
         622.0       7.1
         623.0       3.4
         678.5       4.5
         680.5       7.1
         681.0      12.5
         681.5       1.9
         682.0       3.0
         683.0      29.4
         683.5       1.4
         684.0       5.7
         685.0      20.5
         686.0       4.8
         686.5       1.2
         687.0       5.1
         688.0       1.5
         694.0       7.4
         695.0       2.2
         696.0      29.1
         697.0       7.4
         698.0      43.0
         699.0      10.7
         700.0      30.1
         701.0       7.4
         702.0       9.1
         703.0       2.2
    

400 MHz in DMSO-d6


  • 1H NMR 399.65 MHz
    C21 H14 Br4 O5 S 0.038 g : 0.5 ml DMSO-d6
    bromocresol green
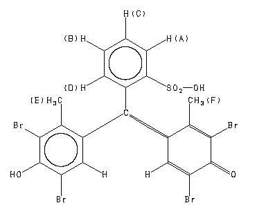
    ChemicalStructure
        Assign.     Shift(ppm)
    A 7.955 B *1 7.495 C *1 7.409 D 6.793 E *2 2.090 F *2 1.934

         Hz     ppm     Int.
    

       3184.69   7.969    326
       3183.72   7.967    357
       3176.76   7.949    368
       3175.90   7.947    385
       2995.36   7.495    347
       2988.53   7.478    224
       2987.67   7.476    231
       2968.14   7.427    235
       2960.69   7.409    357
       2790.41   6.983    254
       2782.84   6.964    238
       2318.85   5.803     54
        835.94   2.092   1000
        772.95   1.935    378
    

KBr disc



nujol mull