图谱信息 供应商 相关产品
网站主页CAS数据库列表 76-73-3更多图谱司可巴比妥(76-73-3)Raman光谱

司可巴比妥

产品名称 司可巴比妥

CAS号76-73-3

分子式C12H18N2O3

分子量238.28

展开



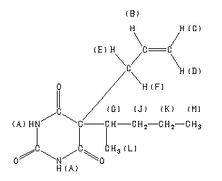
  •     Assign.     Shift(ppm)
    A 11.50 B 5.523 C 5.08 D 5.06 E *1 2.62 F *1 2.59 G 2.030 J 1.39 K 1.09 L 0.945 M 0.833
    Spectral Code: 1H NMR : 400 MHz in DMSO-d6


  • Spectral Code: IR : nujol mull


  • Spectral Code: Raman : 4880 A,200 M,powder

更多供应商