-
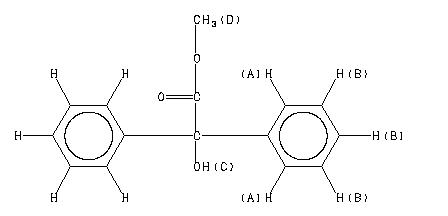
MS-NW-9407 methyl diphenylglycolate C15H14O3 (Mass of molecular ion: 242)
Source Temperature: 150 °C Sample Temperature: 90 °C Direct, 75 eV
15.0 1.0 51.0 5.2 76.0 2.0 77.0 29.6 78.0 2.6 82.5 1.0 91.0 1.0 105.0 61.7 106.0 4.9 152.0 1.9 153.0 1.1 165.0 2.0 181.0 1.7 182.0 1.2 183.0 100.0 184.0 14.4 185.0 1.1 242.0 1.8
400 MHz in CDCl3
-
1H NMR 399.65 MHz C15 H14 O3 0.041 g : 0.5 ml CDCl3 methyl diphenylglycolate 
Assign. Shift(ppm)
A 7.414 B 7.33 C 4.22 D 3.831
Hz ppm Int.2969.97 7.432 56 2968.51 7.428 207 2966.55 7.423 167 2965.70 7.421 142 2964.36 7.418 102 2963.01 7.415 112 2962.16 7.412 148 2960.33 7.408 320 2958.74 7.404 319 2955.69 7.396 40 2939.94 7.357 68 2938.35 7.353 46 2936.40 7.348 105 2934.57 7.343 94 2931.76 7.336 262 2930.91 7.334 280 2929.32 7.330 151 2927.00 7.324 189 2925.66 7.321 218 2924.80 7.319 376 2923.58 7.316 353 2919.80 7.306 88 2918.21 7.302 63 1684.94 4.217 214 1531.25 3.832 1000
更多供应商






