-
MS-NW-0170 benzilic acid C14H12O3 (Mass of molecular ion: 228)
Source Temperature: 180 °C Sample Temperature: 0 °C Direct, 75 eV
27.0 1.5 39.0 3.3 45.0 2.1 50.0 5.1 51.0 18.1 52.0 2.7 62.0 1.3 63.0 3.2 74.0 2.0 75.0 2.1 76.0 4.4 77.0 68.1 78.0 6.9 82.0 1.1 82.5 2.3 87.0 1.2 89.0 1.4 91.0 1.9 102.0 1.0 105.0 100.0 106.0 7.6 115.0 1.8 126.0 1.2 127.0 1.4 128.0 1.2 139.0 2.2 151.0 1.3 152.0 5.6 153.0 2.8 163.0 1.8 164.0 1.7 165.0 10.8 166.0 6.8 167.0 1.9 181.0 6.0 182.0 3.2 183.0 95.3 184.0 14.2 185.0 1.2
400 MHz in DMSO-d6
90 MHz in DMSO-d6
-
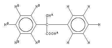
1H NMR 399.65 MHz C14 H12 O3 0.039 g : 0.5 ml DMSO-d6 benzilic acid 
Assign. Shift(ppm)
A 13.3 B 7.389 C 7.323 D 7.271 E 6.4
Hz ppm Int.2957.81 7.402 464 2956.11 7.397 669 2954.18 7.392 227 2950.55 7.383 505 2949.05 7.380 991 2947.99 7.377 864 2945.85 7.372 152 2934.95 7.344 336 2933.67 7.341 506 2931.75 7.336 200 2928.97 7.329 215 2926.83 7.324 1000 2925.12 7.320 396 2920.63 7.308 258 2919.35 7.305 535 2917.00 7.299 101 2912.09 7.287 259 2910.59 7.283 432 2909.09 7.280 255 2906.10 7.272 161 2903.54 7.266 456 2900.55 7.258 100 2896.27 7.248 135
-
1H NMR 89.56 MHz C14 H12 O3 0.044 g : 0.5 ml DMSO-d6 benzilic acid 
Assign. Shift(ppm)
A 13. B 7.58 to 7.11
Hz ppm Int.669.88 7.480 71 667.79 7.457 109 666.14 7.438 164 665.15 7.427 241 664.38 7.419 231 661.08 7.382 520 659.33 7.362 1000 658.01 7.348 644 656.58 7.332 966 654.60 7.310 523 652.18 7.283 441 650.97 7.269 415 648.44 7.241 373 647.34 7.229 159 646.24 7.216 110 643.17 7.182 43 642.73 7.177 43 641.96 7.168 38
更多供应商







