图谱信息 供应商 相关产品
网站主页CAS数据库列表 7603-37-4更多图谱双环[4.3.0]九硝基三联苯-3,6(1)-二烯(7603-37-4)Raman光谱

双环[4.3.0]九硝基三联苯-3,6(1)-二烯

产品名称 双环[4.3.0]九硝基三联苯-3,6(1)-二烯

CAS号7603-37-4

分子式C9H12

分子量120.19

展开


  • Mass

    MS-NW-5827          
    bicyclo(4.3.0)nona-3,6(1)-diene
    C9H12               (Mass of molecular ion:    120)
    

       Source Temperature: 270 °C
       Sample Temperature: 190 °C
       Reservoir, 75 eV
    

          18.0       1.0
          27.0       6.1
          38.0       1.9
          39.0      14.8
          40.0       2.3
          41.0       9.2
          50.0       3.6
          51.0       8.7
          52.0       3.2
          53.0       3.8
          55.0       1.3
          57.0       1.6
          57.5       4.6
          58.0       6.0
          58.5       1.2
          59.0       1.7
          62.0       2.5
          63.0       6.4
          64.0       1.5
          65.0       9.9
          66.0       4.8
          67.0       1.6
          74.0       1.5
          75.0       1.1
          77.0      12.1
          78.0      13.9
          79.0      20.0
          80.0       3.7
          89.0       3.8
          90.0       1.4
          91.0     100.0
          92.0      67.4
          93.0       6.7
         102.0       1.4
         103.0       5.0
         104.0       1.8
         105.0      19.6
         106.0       2.1
         115.0      15.3
         116.0       4.9
         117.0      47.1
         118.0      34.3
         119.0      14.5
         120.0      68.7
         121.0       7.4
         134.0       1.3
    

400 MHz in CDCl3


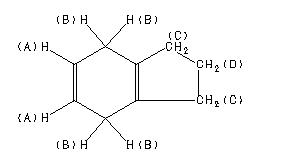
  • 1H NMR 399.65 MHz
    C9 H12 0.05 ml : 0.5 ml CDCl3
    bicyclo(4.3.0)nona-3,6(1)-diene
    ChemicalStructure
        Assign.     Shift(ppm)
    A 5.736 B 2.633 C 2.254 D 1.838

         Hz     ppm     Int.
    

       2296.02   5.746     70
       2293.58   5.739    409
       2292.48   5.737    854
       2291.26   5.734    411
       2288.94   5.728     58
       1052.25   2.633   1000
       1044.68   2.614     37
        908.57   2.274    327
        901.25   2.256    554
        893.80   2.237    384
        747.92   1.872     99
        742.55   1.859     76
        740.36   1.853    209
        738.53   1.848     83
        734.86   1.839    109
        732.91   1.834    352
        728.64   1.824     49
        727.54   1.821     74
        725.34   1.815    182
        723.88   1.812     71
        718.38   1.798     74
        717.90   1.797     73
    

in CDCl3



liquid film (CONTAINS 15% INDAN)



4880 A,150M,liquid