图谱信息 供应商 相关产品
网站主页CAS数据库列表 76189-55-4更多图谱R-(+)-1,1'-联萘-2,2'-双二苯膦(76189-55-4)核磁图(1HNMR)

R-(+)-1,1'-联萘-2,2'-双二苯膦

产品名称 R-(+)-1,1'-联萘-2,2'-双二苯膦

CAS号76189-55-4

分子式C44H32P2

分子量622.69

展开

400 MHz in CDCl3


  • 1H NMR 399.65 MHz
    C44 H32 P2 0.039 g : 0.5 ml CDCl3
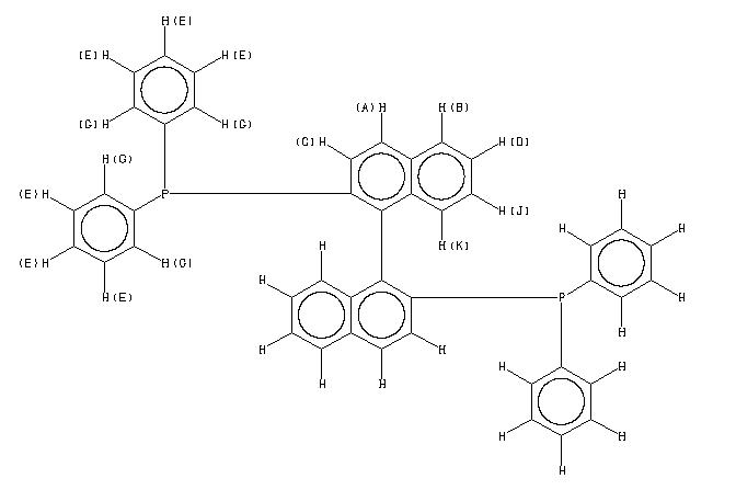
    (R)-(+)-2,2'-bis(diphenylphosphino)-1,1'-binaphthyl
    ChemicalStructure
        Assign.     Shift(ppm)
    A 7.869 B 7.806 C 7.445 D 7.321 E 7.17 to 7.09 G 7.07 J 6.891 K 6.829 ASSIGNED BY C-H COSY.

         Hz     ppm     Int.
    

       3149.66   7.882    537
       3141.11   7.860    602
       3123.90   7.817    414
       3115.84   7.797    450
       2980.96   7.459    329
       2979.74   7.456    291
       2978.39   7.453    315
       2972.53   7.438    309
       2971.19   7.435    272
       2969.85   7.432    295
       2933.84   7.342    246
       2932.62   7.338    246
       2927.12   7.325    305
       2925.78   7.321    445
       2924.44   7.318    249
       2922.00   7.312     37
       2918.95   7.304    260
       2917.72   7.301    240
       2870.73   7.184    133
       2869.14   7.180     91
       2863.89   7.166    377
       2861.33   7.160    168
       2859.38   7.155    197
       2856.69   7.148    622
       2855.10   7.145    669
       2852.91   7.139    890
       2849.73   7.131   1000
       2848.14   7.127    841
       2846.19   7.122    727
       2843.87   7.116    731
       2839.60   7.106    652
       2836.30   7.097    887
       2835.45   7.095    910
       2831.79   7.086    256
       2828.86   7.079    829
       2827.51   7.075    752
       2821.53   7.061    484
       2820.43   7.058    492
       2815.43   7.045    154
       2813.35   7.040    201
       2811.77   7.036    135
       2763.55   6.915    180
       2762.33   6.912    180
       2756.84   6.899    187
       2755.25   6.895    376
       2753.91   6.891    329
       2748.29   6.877    319
       2747.19   6.874    302
       2732.42   6.838    521
       2724.24   6.817    287
    

in CDCl3





KBr disc



nujol mull