图谱信息 供应商 相关产品
网站主页CAS数据库列表 7640-33-7更多图谱7-溴-5-氯-8-羟基喹啉(7640-33-7)质谱(MS)

7-溴-5-氯-8-羟基喹啉

产品名称 7-溴-5-氯-8-羟基喹啉

CAS号7640-33-7

分子式C9H5BrClNO

分子量258.5

展开


  • Mass

    MS-NW-7058          
    7-bromo-5-chloro-8-quinolinol
    C9H5BrClNO          (Mass of molecular ion:    257)
    

       Source Temperature: 150 °C
       Sample Temperature: 100 °C
       Direct, 75 eV
    

          18.0       4.4
          28.0       1.6
          37.0       2.2
          38.0       2.4
          39.0       4.1
          43.0       2.7
          44.0       1.0
          49.0       1.3
          50.0       2.5
          51.0       1.7
          52.0       1.3
          53.0       1.7
          56.5       2.0
          57.0       2.6
          57.5       9.7
          58.0       1.2
          60.0       1.0
          61.0       5.8
          62.0       8.7
          63.0       7.7
          64.0       2.1
          72.0       1.3
          73.0       3.0
          74.0       2.7
          74.5       3.0
          75.0       9.4
          75.5       1.6
          76.0       3.7
          84.0       1.1
          85.0       2.3
          86.0       4.9
          87.0       9.6
          88.0       8.0
          89.0       2.3
          96.5       1.0
          97.0       3.2
          97.5       1.0
          98.0       2.0
          99.0       1.5
         114.0      14.9
         114.5       6.4
         115.0      16.4
         115.5       8.0
         116.0       2.0
         116.5       1.9
         122.0       1.3
         123.0       8.1
         124.0       1.9
         125.0       2.6
         128.5       2.2
         129.5       2.9
         149.0       5.8
         150.0      40.8
         151.0       6.0
         152.0      13.0
         153.0       1.4
         178.0       9.6
         179.0       2.1
         180.0       3.4
         194.0       1.3
         196.0       1.1
         228.0       1.9
         229.0      10.5
         230.0       3.3
         231.0      13.3
         232.0       1.9
         233.0       3.5
         257.0      77.0
         258.0       8.5
         259.0     100.0
         260.0      10.8
         261.0      24.5
         262.0       2.6
    

90 MHz in CDCl3


  • 1H NMR 89.56 MHz
    C9 H5 Br Cl N O 0.012 g : 0.5 ml CDCl3
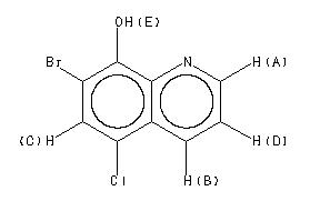
    7-bromo-5-chloro-8-quinolinol
    ChemicalStructure
        Assign.     Shift(ppm)
    A 8.839 B 8.494 C 7.721 D 7.585 E 4. J(A,D)=4.3HZ. J(A,B)=1.4HZ. J(B,D)=8.6HZ.

         Hz     ppm     Int.
    

        794.53   8.872    212
        793.10   8.856    238
        790.36   8.825    238
        788.82   8.808    242
        766.17   8.555    243
        764.74   8.539    216
        762.76   8.517     40
        762.44   8.514     42
        761.89   8.508     36
        760.68   8.494     43
        760.24   8.489     39
        759.91   8.485     41
        757.60   8.460    301
        756.17   8.444    265
        754.41   8.424     46
        753.75   8.417     43
        752.32   8.401     33
        691.53   7.722   1000
        689.23   7.696     51
        688.90   7.693     51
        688.46   7.688     47
        687.69   7.679     45
        687.25   7.674     46
        685.16   7.651    273
        683.51   7.632     73
        680.87   7.603    265
        676.58   7.555    232
        674.83   7.535     64
        672.41   7.508    207
    

in CDCl3



KBr disc



nujol mull



4880 A,200 M,powder