图谱信息 供应商 相关产品
网站主页CAS数据库列表 7651-86-7更多图谱4-羟基菲(7651-86-7)核磁图(13CNMR)

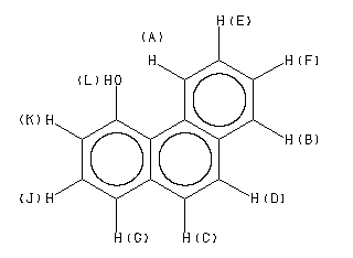
4-羟基菲

产品名称 4-羟基菲

CAS号7651-86-7

分子式C14H10O

分子量194.23

展开



  •     Assign.     Shift(ppm)
    A 9.638 B 7.877 C *1 7.721 D *1 7.689 E *2 7.655 F *2 7.589 G 7.501 J 7.410 K 6.957 L 5.66
    Spectral Code: 1H NMR : 400 MHz in CDCl3



  •        ppm   Int.  Assign.
    154.35 601 1 135.00 496 2 132.60 504 3 130.30 463 4 128.55 962 5 128.21 957 6 128.02 952 7 127.01 985 8 126.52 1000 9 * 126.33 997 10 * 125.99 985 11 121.76 955 12 119.47 393 13 113.25 950 14 10011 E.OTA (GUNMA UNIV.)
    Spectral Code: 13C NMR : in CDCl3


  • Spectral Code: IR : KBr disc