400 MHz in DMSO-d6
-
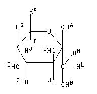
1H NMR 399.65 MHz C6 H12 O6 0.041 g : 0.5 ml DMSO-d6 beta-D-fructopyranose 
Assign. Shift(ppm)
A 5.16 B 4.51 C *1 4.41 D 4.34 E *1 4.26 F 3.784 G 3.649 J 3.59 to 3.55 K 3.430 L *2 3.403 M *2 3.272 J(B,M)=5.5HZ J(B,L)=7.4HZ J(D,G)=3.8HZ J(F,K)=-11.8HZ J(G,K)=1.8HZ J(M,L)=-11.0HZ ASSIGNED BY H-H COSY AND ADDITION OF D2O.
Hz ppm Int.2060.55 5.156 1000 1806.88 4.522 296 1801.39 4.508 421 1799.44 4.503 386 1794.07 4.490 314 1764.89 4.417 404 1763.31 4.413 233 1761.35 4.408 249 1759.03 4.402 416 1736.82 4.346 450 1736.08 4.345 461 1733.03 4.337 486 1732.30 4.335 445 1704.22 4.265 402 1703.13 4.262 177 1701.54 4.258 223 1700.07 4.254 216 1698.85 4.251 190 1697.51 4.248 428 1690.19 4.230 33 1518.80 3.801 281 1506.96 3.771 330 1458.25 3.649 268 1440.31 3.604 50 1437.38 3.597 36 1435.18 3.592 32 1430.18 3.579 451 1428.10 3.574 504 1425.66 3.568 500 1423.71 3.563 400 1415.77 3.543 58 1415.16 3.541 57 1377.93 3.448 323 1376.10 3.444 324 1370.12 3.429 265 1365.84 3.418 318 1364.01 3.414 329 1362.79 3.410 311 1359.01 3.401 407 1351.68 3.383 353 1315.31 3.292 327 1309.94 3.278 358 1304.32 3.264 264 1298.83 3.250 248
更多供应商


