
2-Methyl-1,6-naphthyridine
产品名称
2-Methyl-1,6-naphthyridine
CAS号7675-31-2
分子式C9H8N2
分子量144.17
InChIInChI=1S/C9H8N2/c1-7-2-3-8-6-10-5-4-9(8)11-7/h2-6H,1H3
InChIKeyDZDGPTIDPYGBBK-UHFFFAOYSA-N
SmilesN1C2C(=CN=CC=2)C=CC=1C
展开
收起
-
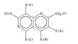
Parameter ppm Hz
D(A) 7.37
D(B) 8.14
D(C) 9.19
D(D) 8.74
D(E) 7.83
J(A,B) 8.2
J(A,C) 0.0
J(A,D) 0.0
J(A,E) 0.0
J(B,C) 0.0
J(B,D) 0.0
J(B,E) 0.9
J(C,D) 0.0
J(C,E) 0.9
J(D,E) 6.0
D(F) 2.76
PAUDLER,W.W. & KRESS,T.J. J.ORG.CHEM. 31, 3055 (1966)
Spectral Code: 1H NMR : parameter in CDCl3