-
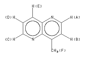
Parameter ppm Hz
D(A) 8.97 D(B) 7.56 D(C) 9.12 D(D) 7.72 D(E) 8.53 D(F) 2.86 J(A,B) 4.4 J(A,C) 0.0 J(A,D) 0.0 J(A,E) 0.0 J(A,F) 0.0 J(B,C) 0.0 J(B,D) 0.0 J(B,E) 0.0 J(B,F) 0.9 J(C,D) 4.1 J(C,E) 1.8 J(C,F) 0.0 J(D,E) 8.7 J(D,F) 0.0 J(E,F) 0.0 PAUDLER,W.W. & KRESS,T.J. J.ORG.CHEM. 31, 3055 (1966)Spectral Code: 1H NMR : parameter in CDCl3

