-
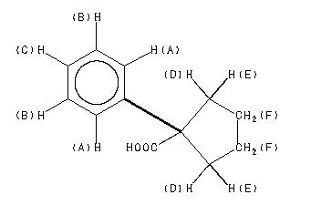
MS-NW-8057 1-phenyl-1-cyclopentanecarboxylic acid C12H14O2 (Mass of molecular ion: 190)
Source Temperature: 160 °C Sample Temperature: 100 °C Direct, 75 eV
27.0 1.1 39.0 3.6 41.0 5.1 50.0 1.0 51.0 3.3 63.0 1.6 65.0 2.9 67.0 12.7 68.0 1.0 77.0 5.2 78.0 1.9 89.0 1.2 91.0 61.0 92.0 4.9 102.0 1.2 103.0 7.1 104.0 2.1 105.0 1.4 115.0 7.2 116.0 2.2 117.0 4.7 118.0 1.7 128.0 3.4 129.0 2.1 130.0 1.0 143.0 1.6 144.0 1.6 145.0 100.0 146.0 12.4 148.0 1.4 190.0 16.8 191.0 2.3
in CDCl3
400 MHz in CDCl3
-
1H NMR 399.65 MHz C12 H14 O2 saturated in CDCl3 1-phenyl-1-cyclopentanecarboxylic acid 
Assign. Shift(ppm)
A 7.389 B 7.309 C 7.242 D 2.652 E 1.912 F 1.73
Hz ppm Int.2959.59 7.406 454 2958.13 7.402 699 2956.05 7.397 204 2952.27 7.388 412 2951.05 7.385 835 2949.95 7.382 834 2947.63 7.376 144 2929.20 7.330 287 2928.22 7.327 509 2926.27 7.323 179 2923.34 7.315 154 2921.02 7.309 1000 2919.56 7.306 444 2914.92 7.294 242 2913.33 7.290 508 2911.13 7.285 94 2900.88 7.259 223 2899.41 7.255 424 2898.07 7.252 244 2894.53 7.243 264 2892.21 7.237 489 2889.89 7.232 123 2886.35 7.223 96 2885.01 7.219 164 2883.67 7.216 88 1072.51 2.684 121 1067.38 2.671 267 1064.33 2.664 179 1061.40 2.656 191 1054.57 2.639 299 1050.90 2.630 164 1048.71 2.625 135 710.94 1.779 31 706.05 1.767 84 699.10 1.750 404 696.29 1.743 524 694.70 1.739 510 693.36 1.735 840 692.02 1.732 773 689.33 1.725 500 687.99 1.722 535 684.94 1.714 392 678.10 1.697 55
更多供应商







