图谱信息 供应商 相关产品
网站主页CAS数据库列表 77-57-6更多图谱1-苯基-1-氰基环戊烷(77-57-6)红外图谱(IR1)

1-苯基-1-氰基环戊烷

产品名称 1-苯基-1-氰基环戊烷

CAS号77-57-6

分子式C12H13N

分子量171.24


  • Mass

    MS-IW-1256          
    1-phenyl-1-cyclopentanecarbonitrile
    C12H13N             (Mass of molecular ion:    171)
    

       Source Temperature: 230 °C
       Sample Temperature: 160 °C
       Reservoir, 75 eV
    

          27.0       1.0
          39.0       2.9
          41.0       2.3
          50.0       1.0
          51.0       3.1
          55.0       1.1
          63.0       1.5
          65.0       1.5
          76.0       1.2
          77.0       3.5
          78.0       3.2
          89.0       1.7
          91.0       2.9
         102.0       6.3
         103.0       5.6
         104.0       1.0
         115.0       8.4
         116.0       4.1
         117.0       4.4
         118.0       1.0
         128.0       5.5
         129.0     100.0
         130.0      14.1
         131.0       1.2
         140.0       1.3
         142.0       4.0
         143.0      13.0
         144.0       5.1
         156.0       1.4
         170.0       6.8
         171.0      28.0
         172.0       3.7
    

400 MHz in CDCl3


  • 1H NMR 399.65 MHz
    C12 H13 N 0.05 ml : 0.5 ml CDCl3
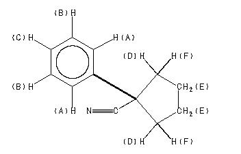
    1-phenyl-1-cyclopentanecarbonitrile
    ChemicalStructure
        Assign.     Shift(ppm)
    A 7.439 B 7.353 C 7.281 D 2.439 E 2.02 F 1.908

         Hz     ppm     Int.
    

       2979.25   7.455    511
       2977.78   7.451    750
       2975.71   7.446    234
       2971.92   7.437    466
       2970.58   7.433    842
       2969.60   7.431    894
       2967.16   7.425    172
       2947.63   7.376    144
       2946.66   7.374    329
       2945.68   7.371    541
       2943.73   7.366    203
       2940.80   7.359    170
       2938.48   7.353   1000
       2936.89   7.349    508
       2932.37   7.338    278
       2930.66   7.334    577
       2928.47   7.328    117
       2916.87   7.299    257
       2915.53   7.296    481
       2914.18   7.292    273
       2912.11   7.287     33
       2911.87   7.287     33
       2910.40   7.283    175
       2908.20   7.277    527
       2905.88   7.272    146
       2902.22   7.262    112
       2901.00   7.259    200
       2899.66   7.256    111
        976.07   2.443    282
        968.75   2.424    280
        826.90   2.070    294
        814.09   2.038    370
        812.50   2.034    311
        811.40   2.031    302
        810.30   2.028    405
        808.72   2.024    626
        806.76   2.019    333
        805.42   2.016    295
        768.43   1.923    300
        762.33   1.908    332
    

in CDCl3



liquid film