图谱信息 供应商 相关产品
网站主页CAS数据库列表 771-51-7更多图谱吲哚-3-乙腈(771-51-7)红外图谱(IR1)

吲哚-3-乙腈

产品名称 吲哚-3-乙腈

CAS号771-51-7

分子式C10H8N2

分子量156.18

展开


  • Mass

    MS-NW-4666          
    3-indoleacetonitrile
    C10H8N2             (Mass of molecular ion:    156)
    

       Source Temperature: 260 °C
       Sample Temperature: 170 °C
       Reservoir, 75 eV
    

          18.0       2.0
          27.0       1.8
          28.0       2.0
          37.0       1.1
          38.0       1.7
          39.0       3.3
          50.0       4.5
          51.0       7.9
          52.0       3.0
          61.0       1.3
          62.0       2.4
          63.0       4.3
          64.0       3.3
          64.5       2.0
          65.0       1.7
          74.0       3.5
          75.0       5.7
          76.0       4.8
          77.0      11.7
          78.0       6.9
          87.0       1.0
          88.0       1.2
          89.0       2.5
          90.0       1.2
          99.0       1.1
         100.0       2.1
         101.0      11.0
         102.0       9.5
         103.0       5.2
         116.0       1.0
         117.0       1.4
         127.0       4.5
         128.0      14.2
         129.0      14.5
         130.0      48.3
         131.0       5.3
         153.0       1.0
         154.0       2.0
         155.0     100.0
         156.0      81.7
         157.0       8.7
    

90 MHz in CDCl3

400 MHz in CDCl3


  • 1H NMR 89.56 MHz
    C10 H8 N2 0.04 ml : 0.5 ml CDCl3
    3-indoleacetonitrile
    ChemicalStructure
        Assign.     Shift(ppm)
    A 8.20 B 7.56 C 7.40 to 7.06 D 3.780 J(C,D)=1.0HZ 400MHZ : HSP-42-521

         Hz     ppm     Int.
    

        682.19   7.618     75
        681.31   7.608     58
        680.25   7.596     47
        677.56   7.566     45
        676.88   7.558     53
        676.00   7.549     92
        675.19   7.539     63
        673.94   7.526     68
        673.13   7.516    115
        672.31   7.507     82
        662.19   7.394     50
        661.38   7.385     53
        659.69   7.366     76
        656.94   7.336    144
        655.63   7.321    227
        654.69   7.311    180
        653.88   7.302    118
        652.81   7.290     95
        650.13   7.260     65
        649.25   7.250    229
        647.38   7.229    380
        643.50   7.186    208
        640.31   7.150    224
        639.69   7.143    271
        638.06   7.125    229
        637.13   7.115    182
        636.13   7.103    107
        633.88   7.078     55
        338.75   3.783    973
        337.75   3.772   1000
    


  • 1H NMR 399.65 MHz
    C10 H8 N2 0.05 ml : 0.5 ml CDCl3
    3-indoleacetonitrile
    ChemicalStructure
        Assign.     Shift(ppm)
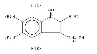
    A 8.26 B 7.410 C 7.181 D 7.128 E 7.068 F 6.757 G 3.418 90MHZ : HSP-04-085

         Hz     ppm     Int.
    

       3299.80   8.257    171
       2965.82   7.422    249
       2957.89   7.402    269
       2874.63   7.193    199
       2866.82   7.174    366
       2856.20   7.147    173
       2855.10   7.145    173
       2849.24   7.130    264
       2848.27   7.127    261
       2841.19   7.110    155
       2840.09   7.107    137
       2831.67   7.086    216
       2830.32   7.082    205
       2823.73   7.066    264
       2822.63   7.063    210
       2816.89   7.049    122
       2815.67   7.046    113
       2702.03   6.761    343
       2699.58   6.755    311
       1366.21   3.419   1000
       1365.23   3.417    841
    

in CDCl3



liquid film