-
MS-IW-9530 methyl 5-iodoanthranilate C8H8INO2 (Mass of molecular ion: 277)
Source Temperature: 220 °C Sample Temperature: 150 °C Reservoir, 75 eV
15.0 2.1 28.0 2.4 29.0 1.2 37.0 1.6 38.0 3.3 39.0 3.6 40.0 1.6 41.0 4.4 44.0 1.0 45.5 1.4 50.0 1.3 51.0 1.6 52.0 10.3 53.0 1.6 61.0 2.2 62.0 5.7 63.0 17.1 64.0 8.6 65.0 4.9 74.0 1.3 75.0 2.2 77.0 1.1 78.0 1.1 79.0 1.6 89.0 2.9 90.0 18.6 91.0 22.6 92.0 3.4 107.0 2.9 108.5 2.4 109.0 5.1 117.0 1.1 118.0 1.2 119.0 1.4 122.5 2.7 123.0 4.3 127.0 2.8 128.0 2.5 135.0 5.4 138.5 4.1 150.0 2.7 191.0 1.3 216.0 1.7 217.0 17.6 218.0 18.7 219.0 1.8 245.0 83.5 246.0 20.6 247.0 1.6 277.0 100.0 278.0 9.3
400 MHz in CDCl3
-
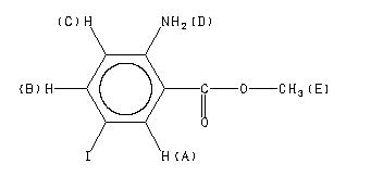
1H NMR 399.65 MHz C8 H8 I N O2 0.037 g : 0.5 ml CDCl3 methyl 5-iodoanthranilate 
Assign. Shift(ppm)
A 8.132 B 7.466 C 6.451 D 5.77 E 3.860
Hz ppm Int.3251.34 8.136 176 3249.15 8.130 182 2989.38 7.480 103 2987.18 7.475 101 2980.71 7.459 105 2978.52 7.453 104 2582.40 6.462 171 2573.73 6.440 164 2307.37 5.774 37 1542.97 3.861 1000
更多供应商





