图谱信息 供应商 相关产品
网站主页CAS数据库列表 7781-98-8更多图谱3-羟基苯甲酸乙酯(7781-98-8)红外图谱(IR1)

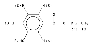
3-羟基苯甲酸乙酯

产品名称 3-羟基苯甲酸乙酯

CAS号7781-98-8

分子式C9H10O3

分子量166.17

展开





  •     Assign.     Shift(ppm)
    A 7.65 B 7.61 C 7.29 D 7.09 E 6.64 F 4.377 G 1.382
    Spectral Code: 1H NMR : 90 MHz in CDCl3








  • Spectral Code: Raman : 4880 A,200 M,powder