-
MS-NW-9493 (+)-2-pinene C10H16 (Mass of molecular ion: 136)
Source Temperature: 260 °C Sample Temperature: 150 °C Reservoir, 75 eV
27.0 6.1 28.0 1.7 29.0 4.5 39.0 9.4 40.0 1.6 41.0 13.0 43.0 7.8 51.0 3.5 52.0 1.5 53.0 6.3 55.0 5.8 63.0 1.1 65.0 4.1 66.0 1.2 67.0 8.0 68.0 4.7 69.0 1.6 77.0 22.3 78.0 3.3 79.0 18.9 80.0 9.1 81.0 3.9 91.0 26.7 92.0 32.2 93.0 100.0 94.0 9.9 95.0 2.0 103.0 1.3 105.0 9.3 106.0 2.6 107.0 5.7 108.0 1.4 119.0 2.0 121.0 14.0 122.0 1.5 136.0 6.6
400 MHz in CDCl3
-
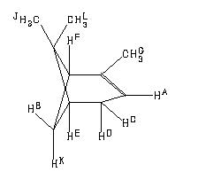
1H NMR 399.65 MHz C10 H16 0.05 ml : 0.5 ml CDCl3 (+)-2-pinene 
Assign. Shift(ppm)
A 5.185 B 2.332 C *1 2.22 D *1 2.17 E 2.068 F 1.932 G 1.656 J 1.265 K 1.155 L 0.837 ASSIGNED BY H-H AND C-H COSY.
Hz ppm Int.2077.76 5.199 32 2076.17 5.195 66 2074.71 5.192 104 2073.24 5.188 131 2071.66 5.184 131 2070.19 5.181 106 2068.73 5.177 69 2067.26 5.173 35 942.50 2.359 65 936.77 2.344 116 933.96 2.337 76 931.27 2.331 84 928.34 2.323 120 922.73 2.309 80 888.06 2.223 49 885.62 2.216 87 883.30 2.211 90 880.86 2.205 55 874.02 2.187 59 871.58 2.181 101 869.14 2.175 104 866.58 2.169 63 854.25 2.138 31 851.81 2.132 32 833.01 2.085 38 831.67 2.081 41 829.96 2.077 61 828.74 2.074 66 827.15 2.070 77 825.93 2.067 78 824.22 2.063 65 822.88 2.060 62 821.29 2.056 47 820.07 2.052 44 778.08 1.947 83 776.61 1.944 87 772.46 1.933 123 771.12 1.930 128 766.85 1.919 65 765.38 1.916 65 665.04 1.665 322 662.96 1.659 608 661.25 1.655 615 659.06 1.650 319 505.49 1.265 944 466.06 1.167 228 457.52 1.145 223 334.59 0.838 1000
更多供应商





