图谱信息 供应商 相关产品
网站主页CAS数据库列表 78307-76-3更多图谱1-(二甲氨基)吡咯(78307-76-3)质谱(MS)

1-(二甲氨基)吡咯

产品名称 1-(二甲氨基)吡咯

CAS号78307-76-3

分子式C6H10N2

分子量110.16


  • Mass

    MS-NW-9560          
    1-(dimethylamino)pyrrole
    C6H10N2             (Mass of molecular ion:    110)
    

       Source Temperature: 240 °C
       Sample Temperature: 150 °C
       Reservoir, 75 eV
    

          15.0       4.8
          18.0       2.6
          27.0       1.0
          28.0       6.1
          37.0       1.1
          38.0       2.8
          39.0      10.0
          40.0       5.3
          41.0      21.8
          42.0      36.4
          43.0       7.2
          44.0       5.5
          50.0       1.1
          51.0       2.8
          52.0       1.3
          54.0       1.7
          55.0       2.8
          58.0       1.0
          66.0       5.2
          67.0      27.9
          68.0      23.5
          69.0       1.7
          78.0       1.3
          80.0       6.9
          81.0       5.5
          82.0      37.0
          83.0       2.9
          93.0       1.7
          94.0       6.9
          95.0      27.0
          96.0       1.7
         109.0       5.2
         110.0     100.0
         111.0       7.6
    

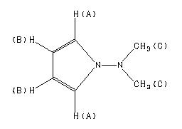
90 MHz in CDCl3


  • 1H NMR 89.56 MHz
    C6 H10 N2 0.05 ml : 0.5 ml CDCl3
    1-(dimethylamino)pyrrole
    ChemicalStructure
        Assign.     Shift(ppm)
    A 6.825 B 6.035 C 2.796

         Hz     ppm     Int.
    

        613.63   6.852    116
        611.38   6.827    187
        609.00   6.800    115
        542.69   6.060    119
        540.44   6.035    172
        538.13   6.009     94
        250.44   2.797   1000
    

in CDCl3



liquid film