-
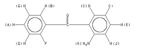
MS-KW-0091 2-amino-5-chloro-2'-fluorobenzophenone C13H9ClFNO (Mass of molecular ion: 249)
Source Temperature: 220 °C Sample Temperature: 150 °C Reservoir, 75 eV
28.0 1.4 38.0 1.2 39.0 2.7 41.0 1.3 50.0 2.0 51.0 2.1 52.0 3.2 62.0 2.5 63.0 9.0 64.0 2.8 65.0 2.2 69.0 2.1 73.0 2.9 74.0 2.0 75.0 11.3 76.0 1.6 77.0 1.0 82.5 1.6 89.0 1.1 90.0 9.6 91.0 4.6 92.0 1.2 92.5 6.5 93.0 1.6 94.0 1.8 95.0 30.7 96.0 2.4 98.0 1.6 99.0 11.9 100.0 1.6 101.0 4.1 105.0 1.4 106.0 1.2 106.5 2.4 107.0 7.9 107.5 1.0 123.0 46.5 124.0 4.3 124.5 2.2 125.0 3.0 126.0 20.8 127.0 2.7 128.0 6.8 139.0 1.5 153.0 4.4 154.0 37.1 155.0 4.6 156.0 12.1 157.0 2.8 164.0 1.3 165.0 1.1 166.0 2.4 167.0 1.2 184.0 2.2 185.0 5.3 186.0 1.4 194.0 2.3 195.0 3.6 200.0 1.3 201.0 2.2 213.0 5.9 214.0 2.2 220.0 3.8 221.0 1.1 222.0 1.3 228.0 2.1 229.0 13.5 230.0 21.6 231.0 7.4 232.0 18.2 233.0 2.7 234.0 3.9 248.0 72.1 249.0 100.0 250.0 37.4 251.0 32.7 252.0 4.6
400 MHz in CDCl3
-
1H NMR 399.65 MHz C13 H9 Cl F N O 0.039 g : 0.5 ml CDCl3 2-amino-5-chloro-2'-fluorobenzophenone 
Assign. Shift(ppm)
A 7.485 B 7.401 C 7.27 D 7.25 E 7.225 G 7.167 J 6.663 K 6.40
Hz ppm Int.3003.54 7.516 125 3001.71 7.511 142 2998.17 7.502 148 2996.22 7.498 270 2995.12 7.495 225 2994.26 7.493 231 2993.41 7.491 208 2990.72 7.484 201 2989.87 7.482 219 2989.01 7.480 246 2987.92 7.477 298 2985.96 7.472 196 2982.42 7.463 164 2980.71 7.459 173 2966.31 7.423 238 2964.60 7.418 233 2958.86 7.404 419 2957.28 7.400 378 2951.90 7.387 309 2950.20 7.382 266 2908.69 7.279 492 2906.25 7.272 1000 2904.17 7.267 866 2901.00 7.259 245 2897.83 7.251 639 2896.85 7.249 658 2893.07 7.240 678 2890.50 7.233 697 2889.40 7.230 368 2884.28 7.218 651 2881.71 7.211 539 2878.05 7.202 46 2877.32 7.200 50 2873.29 7.190 328 2872.44 7.188 313 2863.77 7.166 526 2855.22 7.145 278 2854.37 7.143 268 2667.24 6.674 920 2658.45 6.652 855 2555.91 6.396 287
更多供应商





