400 MHz in D2O
-
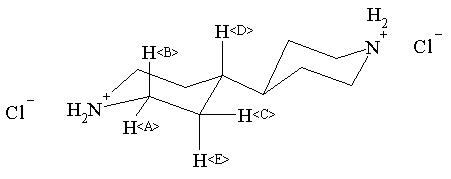
1H NMR 399.65 MHz C10 H20 N2 0.036 g : 0.5 ml D2O 4,4'-bipiperidine dihydrochloride 
Assign. Shift(ppm)
A 3.462 B 2.981 C 2.005 D 1.53 E 1.44 SOLVENT PEAK REMOVED
Hz ppm Int.1390.38 3.479 869 1377.56 3.447 1000 1205.69 3.017 494 1203.00 3.011 485 1192.63 2.985 977 1190.19 2.979 908 1179.81 2.953 511 1177.86 2.948 460 808.47 2.023 776 795.04 1.990 847 622.31 1.558 356 615.60 1.541 221 612.79 1.534 368 610.11 1.527 333 606.45 1.518 213 600.10 1.502 341 599.85 1.501 341 596.19 1.492 339 586.55 1.468 615 582.89 1.459 559 578.98 1.449 222 573.00 1.434 489 569.46 1.425 358
更多供应商





