图谱信息 供应商 相关产品
网站主页CAS数据库列表 78916-25-3更多图谱胆固醇异丙基碳酸酯(78916-25-3)Raman光谱

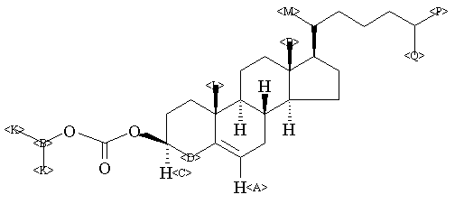
胆固醇异丙基碳酸酯

产品名称 胆固醇异丙基碳酸酯

CAS号78916-25-3

分子式C31H52O3

分子量472.74

展开



  •     Assign.     Shift(ppm)
    A 5.393 B 4.864 C 4.461 D 2.40 K 1.295 L 1.007 M 0.915 P *1 0.867 Q *1 0.862 R 0.677
    Spectral Code: 1H NMR : 400 MHz in CDCl3



  •        ppm   Int.  Assign.
    154.03 667 1 139.50 844 2 122.82 539 3 77.40 631 4 71.44 638 5 56.75 589 6 56.22 638 7 50.07 582 8 42.35 667 9 39.78 496 10 39.56 560 11 38.11 447 12 36.94 440 13 36.58 858 14 36.23 468 15 35.81 652 16 31.90 851 17 18 28.23 589 19 28.02 844 20 27.78 468 21 24.29 454 22 23.87 468 23 22.82 539 24 22.56 511 24 21.81 1000 25 21.09 426 26 19.27 411 27 18.74 447 28 11.88 418 29
    Spectral Code: 13C NMR : in CDCl3


  • Spectral Code: IR : KBr disc


  • Spectral Code: Raman : 4880 A,200 M,powder