-
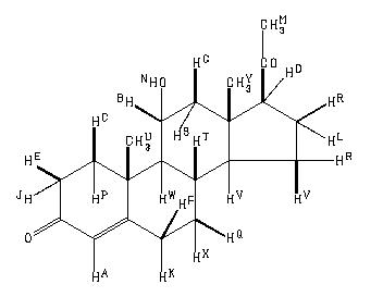
MS-NW-2232 11alpha-hydroxy-4-pregnene-3,20-dione C21H30O3 (Mass of molecular ion: 330)
Source Temperature: 240 °C Sample Temperature: 160 °C Direct, 75 eV
15.0 4.0 17.0 3.0 18.0 16.9 26.0 1.2 27.0 9.0 28.0 2.9 29.0 8.4 39.0 11.1 40.0 2.2 41.0 25.3 42.0 1.8 43.0 100.0 44.0 4.0 45.0 2.4 51.0 4.1 52.0 2.3 53.0 12.1 54.0 2.0 55.0 19.3 56.0 1.1 57.0 3.0 58.0 2.0 63.0 1.8 65.0 6.7 66.0 2.6 67.0 14.1 68.0 2.1 69.0 6.4 70.0 1.4 71.0 14.9 72.0 1.2 77.0 16.8 78.0 5.4 79.0 22.9 80.0 4.9 81.0 18.8 82.0 3.5 83.0 6.3 84.0 5.2 85.0 13.5 86.0 1.2 89.0 1.6 91.0 29.0 92.0 5.2 93.0 18.3 94.0 6.8 95.0 17.3 96.0 5.2 97.0 7.7 98.0 3.8 103.0 3.4 104.0 2.7 105.0 20.7 106.0 9.3 107.0 19.7 108.0 8.6 109.0 19.6 110.0 10.9 111.0 4.9 113.0 1.1 115.0 6.9 116.0 2.8 117.0 8.8 118.0 4.5 119.0 17.2 120.0 13.3 121.0 19.0 122.0 26.4 123.0 46.2 124.0 81.1 125.0 22.4 126.0 2.1 127.0 2.2 128.0 5.9 129.0 8.0 130.0 3.9 131.0 14.9 132.0 8.2 133.0 13.6 134.0 12.7 135.0 12.1 136.0 8.7 137.0 27.4 138.0 6.1 139.0 1.5 141.0 4.7 142.0 3.4 143.0 9.9 144.0 6.2 145.0 19.0 146.0 8.6 147.0 24.0 148.0 8.0 149.0 7.7 150.0 2.8 151.0 2.9 152.0 2.2 153.0 2.4 154.0 1.5 155.0 5.5 156.0 3.1 157.0 8.8 158.0 4.5 159.0 11.6 160.0 5.7 161.0 10.8 162.0 6.8 163.0 51.7 164.0 8.6 165.0 4.7 166.0 1.8 167.0 2.9 168.0 1.9 169.0 5.5 170.0 4.5 171.0 8.3 172.0 5.6 173.0 9.9 174.0 5.7 175.0 9.1 176.0 4.6 177.0 3.8 178.0 2.5 179.0 2.9 180.0 1.5 181.0 2.7 182.0 1.5 183.0 4.5 184.0 2.5 185.0 5.3 186.0 3.1 187.0 4.3 188.0 3.3 189.0 9.1 190.0 18.9 191.0 6.4 192.0 2.6 193.0 4.2 194.0 1.8 195.0 3.1 196.0 1.6 197.0 3.7 198.0 2.4 199.0 5.8 200.0 2.7 201.0 2.5 202.0 2.7 203.0 2.8 204.0 3.0 205.0 2.0 206.0 17.1 207.0 14.7 208.0 3.6 209.0 7.0 210.0 3.0 211.0 4.3 212.0 3.2 213.0 5.2 214.0 3.0 215.0 2.7 216.0 1.5 217.0 2.1 218.0 1.1 219.0 3.0 220.0 1.3 221.0 2.1 222.0 1.5 223.0 3.5 224.0 2.8 225.0 4.5 226.0 3.4 227.0 16.7 228.0 5.1 229.0 3.9 230.0 2.2 231.0 1.7 232.0 1.7 233.0 1.6 234.0 1.0 235.0 1.8 236.0 1.2 237.0 2.2 238.0 1.4 239.0 3.9 240.0 1.9 241.0 4.7 242.0 8.0 243.0 3.4 244.0 1.8 245.0 2.7 246.0 1.3 247.0 1.6 248.0 1.6 249.0 1.1 250.0 1.9 251.0 4.4 252.0 2.0 253.0 2.1 254.0 2.0 255.0 3.7 256.0 1.7 257.0 4.2 258.0 1.4 259.0 2.0 260.0 5.6 261.0 2.5 264.0 1.0 265.0 1.3 266.0 2.0 267.0 1.9 268.0 4.8 269.0 13.0 270.0 6.9 271.0 1.8 272.0 1.4 273.0 2.3 274.0 2.1 276.0 2.9 277.0 1.5 278.0 1.1 279.0 6.0 280.0 1.8 283.0 1.1 284.0 5.4 285.0 4.0 286.0 1.8 287.0 3.0 288.0 2.4 292.0 1.7 294.0 9.9 295.0 3.7 296.0 1.4 297.0 14.3 298.0 3.6 302.0 5.0 303.0 1.2 310.0 1.6 312.0 38.1 313.0 9.3 314.0 1.9 315.0 1.7 328.0 1.1 330.0 32.8 331.0 7.4 332.0 1.3
400 MHz in CDCl3
-
1H NMR 399.65 MHz C21 H30 O3 0.056 g : 0.5 ml CDCl3 11alpha-hydroxy-4-pregnene-3,20-dione 
Assign. Shift(ppm)
A 5.735 B 4.038 C 2.696 D 2.576 E 2.43 F 2.40 G 2.35 J 2.33 K 2.30 L *1 2.18 M 2.141 N 2.04 P 2.03 Q 1.857 R *1 1.78 to 1.68 S 1.540 T 1.54 U 1.326 V 1.35 to 1.23 W 1.171 X 1.113 Y 0.697 ASSIGNED BY H-H COSY.
Hz ppm Int.2292.11 5.736 116 1084.96 2.715 46 1071.04 2.680 50 1029.54 2.577 56 1020.39 2.554 34 977.05 2.445 44 975.59 2.442 39 972.29 2.433 40 963.38 2.411 55 961.18 2.406 37 958.62 2.399 56 956.18 2.393 36 954.59 2.389 33 948.73 2.374 59 943.97 2.362 65 938.35 2.348 44 936.89 2.345 71 934.94 2.340 69 934.20 2.338 69 932.13 2.333 65 930.79 2.330 46 925.78 2.317 36 922.00 2.308 61 918.46 2.299 49 878.66 2.199 36 869.51 2.176 36 867.80 2.172 43 862.92 2.160 48 855.83 2.142 1000 852.54 2.134 32 823.61 2.061 33 819.95 2.052 109 813.23 2.035 124 809.81 2.027 44 696.29 1.743 32 692.75 1.734 47 691.28 1.730 49 688.84 1.724 72 684.33 1.713 37 679.69 1.701 35 626.10 1.567 59 614.87 1.539 86 603.64 1.511 48 535.28 1.340 39 530.27 1.327 613 523.07 1.309 41 519.90 1.301 33 517.82 1.296 38 512.70 1.283 49 509.64 1.276 43 507.81 1.271 41 478.15 1.197 57 467.77 1.171 86 457.40 1.145 53 278.81 0.698 560
更多供应商





