图谱信息 供应商 相关产品
网站主页CAS数据库列表 80-77-3更多图谱芬那露(80-77-3)核磁图(13CNMR)

芬那露

产品名称 芬那露

CAS号80-77-3

分子式C11H12ClNO3S

分子量273.74

展开


  • Mass

    MS-IW-2147          
    2-(p-chlorophenyl)-3-methyltetrahydro-1,3-thiazin-4-one 1,1-dioxide
    C11H12ClNO3S        (Mass of molecular ion:    273)
    

       Source Temperature: 180 °C
       Sample Temperature: 190 °C
       Direct, 75 eV
    

          15.0       2.3
          26.0       2.5
          27.0       5.8
          28.0      24.2
          29.0       1.2
          38.0       1.0
          39.0       2.4
          41.0       4.6
          42.0      32.7
          43.0       1.5
          44.0       2.0
          47.0       1.3
          48.0       4.0
          50.0       5.4
          51.0       4.3
          55.0       5.7
          56.0      24.6
          57.0       2.4
          58.0       2.0
          58.5       2.8
          59.0       1.0
          61.0       1.1
          62.0       2.3
          63.0       4.7
          64.0       1.3
          69.0      21.1
          70.0       1.2
          72.5       1.2
          73.0       1.9
          74.0       2.4
          75.0       8.6
          76.0       3.7
          77.0       4.8
          85.0       1.2
          87.0       1.2
          89.0       8.8
          90.0       2.6
          91.0       3.0
          97.0       9.3
          98.0      54.5
          99.0       3.9
         102.0       3.9
         111.0      11.3
         112.0       6.0
         113.0       4.0
         114.0       2.0
         116.0       1.9
         117.0      10.6
         118.0       6.2
         125.0      12.8
         126.0       1.2
         127.0       4.2
         137.0       4.7
         138.0       2.4
         139.0       2.3
         140.0       1.2
         151.0       1.9
         152.0     100.0
         153.0      43.8
         154.0      58.5
         155.0      16.4
         156.0       8.8
         174.0      16.7
         175.0       2.1
         180.0       1.0
         208.0      13.8
         209.0      11.8
         210.0       5.9
         211.0       3.9
    

400 MHz in CDCl3


  • 1H NMR 399.65 MHz
    C11 H12 Cl N O3 S 0.045 g : 0.5 ml CDCl3
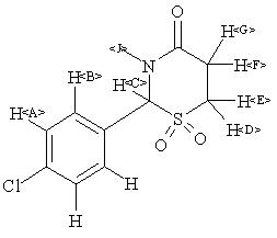
    2-(p-chlorophenyl)-3-methyltetrahydro-1,3-thiazin-4-one 1,1-dioxide
    ChemicalStructure
        Assign.     Shift(ppm)
    A 7.474 B 7.353 C 5.319 D *1 3.320 E *1 3.22 F *2 3.16 G *2 3.12 J 2.948

         Hz     ppm     Int.
    

       2992.31   7.488    240
       2990.36   7.483     90
       2985.84   7.472     94
       2983.76   7.466    352
       2981.20   7.460     56
       2945.43   7.371     31
       2944.82   7.369     33
       2942.50   7.363    272
       2940.80   7.359     87
       2940.31   7.358     80
       2936.28   7.348     61
       2935.79   7.346     64
       2934.20   7.342    206
       2931.76   7.336     31
       2126.95   5.323    127
       2124.76   5.317    134
       1339.36   3.352     30
       1335.33   3.342     32
       1330.57   3.330     47
       1329.10   3.326     45
       1324.34   3.314     59
       1321.29   3.307     64
       1314.09   3.289     64
       1292.36   3.234     67
       1290.04   3.228     67
       1286.87   3.220     59
       1284.55   3.215     51
       1281.74   3.208     37
       1277.47   3.197     54
       1275.88   3.193     34
       1275.15   3.191     38
       1269.29   3.177     85
       1263.43   3.162     48
       1259.77   3.153     60
       1254.64   3.140     81
       1248.05   3.123     85
       1242.43   3.109     48
       1230.22   3.079     30
       1178.10   2.948   1000
    

in CDCl3



KBr disc



nujol mull