图谱信息 供应商 相关产品
网站主页CAS数据库列表 8004-87-3更多图谱甲基紫(8004-87-3)红外图谱(IR2)

甲基紫

产品名称 甲基紫

CAS号8004-87-3

分子式C24H28ClN3

分子量393.95

展开

400 MHz in DMSO-d6


  • 1H NMR 399.65 MHz
    C24 H28 Cl N3 0.032 g : 0.5 ml DMSO-d6
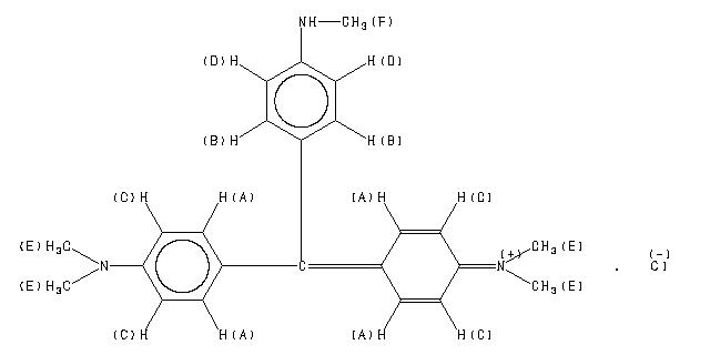
    Methyl Violet 2B
    ChemicalStructure
        Assign.     Shift(ppm)
    A 7.27 B 7.22 C 6.990 D 6.872 E 3.221 F 3.205

         Hz     ppm     Int.
    

       2912.60   7.288    123
       2906.25   7.272    102
       2903.56   7.266    163
       2897.22   7.250    102
       2892.21   7.237     35
       2888.55   7.228     44
       2886.60   7.223     52
       2879.76   7.206     34
       2801.27   7.010    145
       2792.24   6.987    180
       2785.52   6.970     47
       2783.81   6.966     80
       2755.13   6.894     39
       2745.97   6.871     61
       2736.94   6.849     32
       1287.48   3.222   1000
       1281.01   3.206    589
    

in DMSO-d6



KBr disc



nujol mull