
DL-MANDELIC ACID BENZYL ESTER
产品名称
DL-MANDELIC ACID BENZYL ESTER
CAS号80409-16-1
分子式C15H14O3
分子量242.27
InChIInChI=1S/C15H14O3/c16-14(13-9-5-2-6-10-13)15(17)18-11-12-7-3-1-4-8-12/h1-10,14,16H,11H2
InChIKeyJFKWZVQEMSKSBU-UHFFFAOYSA-N
SmilesC1(C=CC=CC=1)C(O)C(=O)OCC1C=CC=CC=1
展开
收起
-
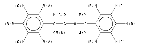
Assign. Shift(ppm)
A 7.40
B 7.34
C 7.32
D 7.29
E 7.18
F *1 5.21
G 5.20
J *1 5.17
K 3.53
Spectral Code: 1H NMR : 400 MHz in CDCl3
-
ppm Int. Assign.
173.41 129 1
138.31 161 2
135.12 124 3
128.50 1000 4
5
6
7
127.90 441 8
126.63 516 9
73.05 231 10
67.46 231 11
Spectral Code: 13C NMR : in CDCl3
-
Spectral Code: IR : KBr disc
-
Spectral Code: Raman : 4880 A,200 M,powder
DL-MANDELIC ACID BENZYL ESTER(80409-16-1)Raman光谱 相关产品图谱