图谱信息 供应商 相关产品
网站主页CAS数据库列表 80866-80-4更多图谱2-氯-5-硝基苄醇(80866-80-4)红外图谱(IR1)

2-氯-5-硝基苄醇

产品名称 2-氯-5-硝基苄醇

CAS号80866-80-4

分子式C7H6ClNO3

分子量187.58

展开


  • Mass

    MS-NW-7257          
    2-chloro-5-nitrobenzyl alcohol
    C7H6ClNO3           (Mass of molecular ion:    187)
    

       Source Temperature: 140 °C
       Sample Temperature: 110 °C
       Direct, 75 eV
    

          17.0       1.4
          18.0       5.4
          26.0       1.5
          27.0       6.6
          28.0       5.7
          29.0      12.7
          30.0       9.8
          31.0      19.7
          36.0       1.8
          37.0       6.0
          38.0       8.2
          39.0      17.3
          40.0       1.7
          43.0       1.9
          46.0       1.8
          49.0       3.1
          50.0      30.7
          51.0      61.2
          52.0       9.9
          53.0       3.9
          55.0       3.1
          60.0       1.2
          61.0       6.7
          62.0      10.7
          63.0      21.0
          64.0       3.7
          65.0      14.4
          66.0       3.7
          72.0       1.4
          73.0      11.6
          74.0      24.8
          75.0      57.5
          76.0      16.9
          77.0     100.0
          78.0      30.2
          79.0       2.4
          84.0       3.7
          85.0       5.6
          86.0       4.2
          87.0       5.9
          88.0       1.9
          89.0      10.9
          90.0       2.3
          92.0       2.0
          93.0       2.2
          94.0      11.1
          95.0       1.0
          97.0       2.8
          98.0       1.2
          99.0       4.0
         100.0       1.6
         101.0       1.6
         103.0       1.5
         104.0       4.5
         105.0      17.8
         106.0       9.1
         107.0       1.7
         109.0       1.5
         110.0       8.2
         111.0      45.5
         112.0      22.0
         113.0      17.9
         114.0       6.9
         115.0       2.1
         121.0       2.6
         122.0       5.5
         123.0      65.6
         124.0      34.3
         125.0      24.0
         126.0       5.1
         127.0       1.3
         128.0       3.2
         129.0       1.5
         130.0       1.1
         138.0       3.1
         139.0      19.5
         140.0      24.6
         141.0      58.6
         142.0      18.8
         143.0      19.4
         144.0       3.8
         150.0       5.6
         151.0       1.6
         152.0      47.0
         153.0       4.4
         155.0       3.1
         157.0       2.1
         158.0      18.2
         159.0       1.9
         160.0       6.2
         169.0       2.7
         170.0      15.7
         171.0       4.8
         172.0       5.4
         173.0       1.4
         184.0       3.8
         185.0       2.9
         186.0      12.3
         187.0      87.1
         188.0      11.2
         189.0      28.7
         190.0       2.8
    

400 MHz in CDCl3

90 MHz in CDCl3


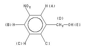
  • 1H NMR 399.65 MHz
    C7 H6 Cl N O3 0.033 g : 0.5 ml CDCl3
    2-chloro-5-nitrobenzyl alcohol
    ChemicalStructure
        Assign.     Shift(ppm)
    A 8.436 B 8.088 C 7.514 D 4.861 E 2.52

         Hz     ppm     Int.
    

       3373.54   8.442    393
       3372.68   8.440    615
       3372.07   8.438    401
       3370.24   8.433    637
       3238.89   8.105    267
       3238.28   8.103    449
       3237.67   8.102    257
       3236.08   8.098    269
       3235.47   8.096    430
       3234.86   8.095    241
       3232.79   8.090     31
       3232.18   8.088     30
       3230.22   8.083    289
       3229.61   8.082    476
       3229.00   8.080    276
       3227.42   8.076    294
       3226.81   8.075    469
       3226.20   8.073    260
       3007.45   7.526   1000
       2998.78   7.504    941
       1943.97   4.865    626
       1941.77   4.859    652
       1006.84   2.520    257
    


  • 1H NMR 89.56 MHz
    C7 H6 Cl N O3 0.039 g : 0.5 ml CDCl3
    2-chloro-5-nitrobenzyl alcohol
    ChemicalStructure
        Assign.     Shift(ppm)
    A 8.422 B 8.076 C 7.508 D 4.853 E 2.53 J(A,B)=2.8HZ J(B,C)=8.7HZ

         Hz     ppm     Int.
    

        755.81   8.440    284
        755.50   8.436    279
        753.06   8.409    326
        729.13   8.142    195
        726.38   8.111    158
        722.81   8.071     41
        720.44   8.045    259
        717.63   8.013    216
        676.13   7.550    521
        667.44   7.453    381
        434.69   4.854   1000
        226.56   2.530    187
    

in CDCl3



KBr disc



nujol mull