图谱信息 供应商 相关产品
网站主页CAS数据库列表 80866-90-6更多图谱2-乙基-2-苯基丙二酰胺一水(80866-90-6)红外图谱(IR1)

2-乙基-2-苯基丙二酰胺一水

产品名称 2-乙基-2-苯基丙二酰胺一水

CAS号80866-90-6

分子式C11H16N2O3

分子量224.26

展开


  • Mass

    MS-NW-6598          
    2-ethyl-2-phenylmalonamide
    C11H14N2O2 H2O      (Mass of molecular ion:    206)
    

       Source Temperature: 190 °C
       Sample Temperature: 120 °C
       Direct, 75 eV
    

          17.0       3.3
          18.0      14.3
          27.0       2.8
          28.0       1.9
          29.0       1.4
          38.0       1.0
          39.0       7.5
          41.0       5.8
          42.0       3.3
          43.0       5.8
          44.0      15.2
          50.0       2.8
          51.0       7.9
          52.0       2.1
          53.0       1.0
          62.0       2.0
          63.0       4.7
          64.0       1.3
          65.0       4.5
          74.0       3.7
          75.0       1.5
          76.0       1.9
          77.0      12.3
          78.0       4.9
          79.0       2.9
          89.0       5.5
          90.0       3.3
          91.0      33.7
          92.0       3.2
         102.0       2.6
         103.0      31.7
         104.0       5.3
         105.0       2.8
         106.0       1.4
         115.0      12.7
         116.0       9.6
         117.0      20.7
         118.0       5.7
         119.0       5.3
         120.0      18.1
         121.0       1.8
         130.0       7.1
         131.0       3.0
         132.0       1.0
         133.0       1.2
         134.0       1.5
         135.0       2.5
         142.0       3.8
         143.0       3.5
         144.0       1.4
         145.0      15.9
         146.0       5.0
         148.0      82.8
         149.0       8.8
         160.0       1.6
         161.0       4.8
         162.0       2.5
         163.0     100.0
         164.0      11.9
    

400 MHz in DMSO-d6


  • 1H NMR 399.65 MHz
    C11 H14 N2 O2 0.038 g : 0.5 ml DMSO-d6
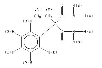
    2-ethyl-2-phenylmalonamide
    ChemicalStructure
        Assign.     Shift(ppm)
    A *1 7.99 B *1 7.38 C 7.34 D 7.32 E 7.242 F 2.308 G 0.830

         Hz     ppm     Int.
    

       3194.70   7.994    310
       2950.68   7.384    319
       2942.26   7.363     55
       2940.80   7.359    120
       2938.60   7.353    182
       2936.28   7.348     95
       2932.01   7.337    883
       2930.66   7.334   1000
       2924.07   7.317    521
       2922.00   7.312    150
       2917.97   7.302     98
       2915.89   7.297    164
       2901.37   7.260    112
       2899.41   7.255    188
       2897.09   7.250    102
       2895.51   7.246     92
       2893.80   7.241    132
       2892.70   7.239    173
       2890.01   7.232     66
       2888.18   7.227     55
       2886.35   7.223     81
       2884.28   7.218     49
        933.59   2.337     93
        926.39   2.319    320
        919.19   2.300    327
        911.99   2.282    102
        338.99   0.849    393
        331.79   0.831    932
        324.46   0.812    371
    

in DMSO-d6



KBr disc



nujol mull