图谱信息 供应商 相关产品
网站主页CAS数据库列表 81-16-3更多图谱2-萘胺-1-磺酸(81-16-3)核磁图(13CNMR)

2-萘胺-1-磺酸

产品名称 2-萘胺-1-磺酸

CAS号81-16-3

分子式C10H9NO3S

分子量223.25

展开


  • Mass

    MS-NW-0297          
    tobias acid
    C10H9NO3S           (Mass of molecular ion:    223)
    

       Source Temperature: 200 °C
       Sample Temperature:   0 °C
       Direct, 75 eV
    

          18.0       1.0
          28.0       1.0
          39.0       1.6
          48.0       3.9
          50.0       1.1
          51.0       1.4
          57.5       1.2
          58.5       2.3
          62.0       1.5
          63.0       3.0
          64.0       4.7
          65.0       1.5
          70.5       2.9
          71.5       5.3
          74.0       1.0
          75.0       1.0
          80.0       7.4
          88.0       1.0
          89.0       3.3
         113.0       1.4
         114.0       2.2
         115.0      30.2
         116.0      12.7
         117.0       2.0
         126.0       1.8
         140.0       1.6
         141.0       1.5
         142.0       4.2
         143.0     100.0
         144.0      11.6
    

400 MHz in DMSO-d6


  • 1H NMR 399.65 MHz
    C10 H9 N O3 S 0.037 g : 0.5 ml DMSO-d6
    tobias acid
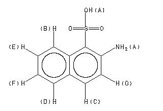
    ChemicalStructure
        Assign.     Shift(ppm)
    A 9.4 B 9.013 C 8.048 D 7.943 E 7.628 F 7.567 G 7.372

         Hz     ppm     Int.
    

       3767.70   9.428    111
       3605.65   9.023    539
       3597.56   9.002    532
       3596.80   9.000    552
       3220.83   8.060    670
       3212.13   8.038    714
       3178.71   7.954    459
       3171.39   7.936    495
       3170.32   7.933    492
       3058.17   7.653    225
       3056.64   7.649    257
       3054.20   7.643     63
       3051.30   7.635    400
       3049.77   7.632    492
       3047.94   7.627    276
       3042.60   7.614    404
       3041.08   7.610    382
       3037.72   7.601     46
       3031.46   7.586    407
       3030.09   7.582    444
       3024.60   7.569    321
       3023.38   7.566    558
       3022.16   7.563    444
       3016.51   7.548    246
       3015.29   7.545    235
       2950.59   7.383   1000
       2946.47   7.373     57
       2945.71   7.371     57
       2941.89   7.362    955
    

in DMSO-d6



KBr disc



nujol mull