图谱信息 供应商 相关产品
网站主页CAS数据库列表 81-83-4更多图谱萘亚胺(81-83-4)核磁图(13CNMR)

萘亚胺

产品名称 萘亚胺

CAS号81-83-4

分子式C12H7NO2

分子量197.19

展开


  • Mass

    MS-NW-8090          
    1,8-naphthalenedicarboximide
    C12H7NO2            (Mass of molecular ion:    197)
    

       Source Temperature: 180 °C
       Sample Temperature: 160 °C
       Direct, 75 eV
    

          18.0       3.8
          28.0       1.5
          39.0       2.3
          50.0       6.3
          51.0       3.0
          52.0       1.2
          61.0       2.3
          62.0       4.2
          62.5       1.1
          63.0      17.9
          63.5       1.4
          70.5       3.6
          74.0       9.4
          75.0       7.3
          76.0       8.9
          77.0       3.3
          84.5       4.8
          85.0       1.5
          86.0       2.7
          87.0       4.7
          88.0       2.0
          98.0       4.1
          99.0       4.8
         100.0       3.9
         113.0       4.8
         114.0       4.2
         122.0       1.0
         125.0       4.9
         126.0      50.5
         127.0       9.6
         140.0       8.0
         141.0       2.7
         152.0       4.1
         153.0      75.8
         154.0      22.3
         155.0       9.8
         156.0       1.1
         169.0       5.8
         180.0       1.2
         197.0     100.0
         198.0      13.8
         199.0       1.3
    

400 MHz in DMSO-d6 at 60C


  • 1H NMR 399.65 MHz
    C12 H7 N O2 saturated in DMSO-d6 at 60 C
    1,8-naphthalenedicarboximide
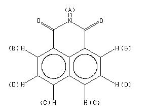
    ChemicalStructure
        Assign.     Shift(ppm)
    A 11.5 B 8.439 C 8.404 D 7.840 ASSIGNED BY C-H COSY

         Hz     ppm     Int.
    

       4625.14  11.573     31
       4623.67  11.570     36
       4623.30  11.569     38
       4622.75  11.567     39
       4622.02  11.566     43
       4621.47  11.564     44
       4621.11  11.563     47
       4620.74  11.562     49
       4619.64  11.560     54
       4619.09  11.558     58
       4617.63  11.555     68
       4614.14  11.546    101
       4611.77  11.540    124
       4610.85  11.538    128
       4610.48  11.537    126
       4609.75  11.535    127
       4608.83  11.533    122
       4607.55  11.529    114
       4607.18  11.529    110
       4606.27  11.526    103
       4601.88  11.515     62
       4600.04  11.511     51
       4599.49  11.509     47
       4598.94  11.508     44
       4598.39  11.507     43
       4597.48  11.504     38
       4596.01  11.501     34
       4595.10  11.498     30
       3376.86   8.450    886
       3376.13   8.448    877
       3372.46   8.439    124
       3369.53   8.432    929
       3368.80   8.430    946
       3366.23   8.423    182
       3365.87   8.423    182
       3362.94   8.415    914
       3359.46   8.407    121
       3358.36   8.404    129
       3357.99   8.403    130
       3354.69   8.395    978
       3348.10   8.378     36
       3347.73   8.377     33
       3145.88   7.872     36
       3140.76   7.859    741
       3133.25   7.840   1000
       3125.19   7.820    659
    

in CDCl3



KBr disc