图谱信息 供应商 相关产品
网站主页CAS数据库列表 81-88-9更多图谱罗丹明 B(81-88-9)红外图谱(IR1)

罗丹明 B

产品名称 罗丹明 B

CAS号81-88-9

分子式C28H31ClN2O3

分子量479.01

展开


  • Mass

    MS-NW-6946          
    rhodamine B
    C28H31ClN2O3        (Mass of molecular ion:    478)
    

       Source Temperature: 250 °C
       Sample Temperature: 190 °C
       Direct, 75 eV
    

          18.0       2.1
          27.0       1.6
          29.0       6.5
          36.0       2.4
         113.0       2.5
         140.5       1.7
         141.0       1.4
         141.5       3.4
         142.0       1.3
         148.0       1.0
         148.5       1.3
         149.0       1.7
         155.0       2.7
         155.5       3.0
         156.0       3.9
         162.0       2.2
         162.5       1.2
         163.0       3.7
         163.5       1.0
         169.0       1.0
         170.0       3.1
         176.0       1.4
         177.0       5.1
         177.5       1.4
         178.0       1.2
         184.0      11.3
         184.5       3.4
         185.0       1.7
         191.0       3.7
         191.5       3.4
         192.0       1.7
         199.0       9.1
         199.5       3.4
         200.0       1.3
         206.0       2.4
         213.0       2.3
         214.0       1.1
         221.0       1.5
         224.0       2.3
         225.0       2.0
         226.0       3.9
         227.0       1.4
         238.0       1.0
         239.0       1.2
         240.0       1.8
         241.0       1.0
         242.0       1.0
         251.0       1.4
         252.0       1.0
         253.0       2.5
         254.0       3.2
         255.0       2.6
         267.0       1.3
         268.0       2.3
         269.0       2.7
         270.0       1.7
         280.0       1.6
         281.0       4.2
         282.0      17.2
         283.0       5.5
         284.0       1.4
         294.0       1.0
         295.0       3.3
         296.0       7.0
         297.0       4.3
         298.0       3.7
         299.0       1.1
         309.0      12.4
         310.0       5.0
         311.0       2.8
         312.0       1.4
         321.0       1.0
         323.0       7.3
         324.0       3.8
         325.0       9.4
         326.0      83.0
         327.0      23.1
         328.0       3.8
         337.0       1.1
         339.0       3.8
         340.0       2.6
         341.0       2.8
         342.0       1.7
         353.0      21.2
         354.0       7.2
         355.0       2.8
         367.0       5.5
         368.0       2.8
         369.0      16.4
         370.0       8.6
         371.0       2.1
         383.0       3.0
         384.0       1.0
         395.0       2.8
         396.0       3.6
         397.0      92.0
         398.0     100.0
         399.0      25.5
         400.0       4.1
         441.0       3.7
         442.0       7.9
         443.0       2.9
         444.0       1.0
    

400 MHz in DMSO-d6


  • 1H NMR 399.65 MHz
    C28 H31 Cl N2 O3 0.031 g : 0.5 ml DMSO-d6
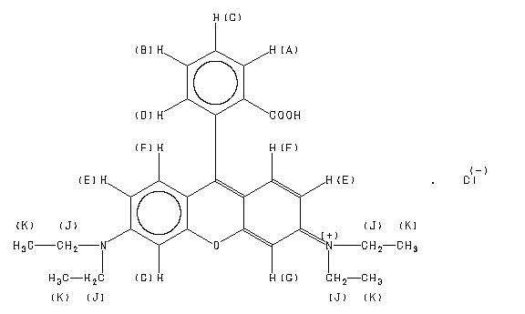
    Rhodamine B
    ChemicalStructure
        Assign.     Shift(ppm)
    A 8.238 B *1 7.877 C *1 7.822 D 7.471 E 7.098 F 7.030 G 6.976 J 3.650 K 1.218

         Hz     ppm     Int.
    

       3297.12   8.251     81
       3296.20   8.248     86
       3289.34   8.231     95
       3288.27   8.228     96
       3157.65   7.902     31
       3156.43   7.898     36
       3150.18   7.883     87
       3148.80   7.879     92
       3142.85   7.865     70
       3141.33   7.861     68
       3133.24   7.840     63
       3131.87   7.837     71
       3125.61   7.821     84
       3124.24   7.818     92
       3117.98   7.802     38
       3116.76   7.799     37
       2989.96   7.482     87
       2988.89   7.479     94
       2982.48   7.463     86
       2981.57   7.461     86
       2844.39   7.118     87
       2842.10   7.112     93
       2834.93   7.094    157
       2832.64   7.088    175
       2813.42   7.040    345
       2803.96   7.017    219
       2789.15   6.979    269
       2786.87   6.974    260
       1524.05   3.814     69
       1469.57   3.678    177
       1462.71   3.660    416
       1455.54   3.643    424
       1448.52   3.625    181
       1434.78   3.591     40
        493.93   1.236    472
        486.91   1.219   1000
        479.89   1.201    478
    

in D2O



KBr disc



nujol mull