图谱信息 供应商 相关产品
网站主页CAS数据库列表 81028-98-0更多图谱1,6-脱水-3,4-O-异亚丙基-2-甲苯磺酰基-D-半乳糖(81028-98-0)红外图谱(IR2)

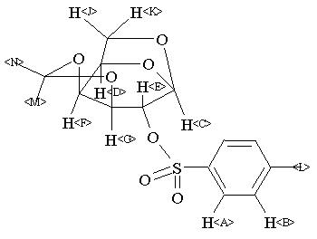
1,6-脱水-3,4-O-异亚丙基-2-甲苯磺酰基-D-半乳糖

产品名称 1,6-脱水-3,4-O-异亚丙基-2-甲苯磺酰基-D-半乳糖

CAS号81028-98-0

分子式C16H20O7S

分子量356.39


  • Mass

    MS-IW-0798          
    1,6-anhydro-3,4-O-isopropylidene-2-o-tosyl-beta-D-galactopyranose
    C16H20O7S           (Mass of molecular ion:    356)
    

       Source Temperature: 160 °C
       Sample Temperature: 140 °C
       Direct, 75 eV
    

          15.0       1.2
          18.0       3.8
          27.0       1.9
          28.0       1.6
          29.0       3.1
          31.0       4.2
          39.0       3.2
          41.0      10.7
          42.0       1.0
          43.0      20.5
          44.0       1.5
          45.0       2.3
          53.0       1.0
          55.0      25.0
          56.0       1.1
          57.0      23.3
          58.0       1.5
          59.0      18.7
          60.0       1.1
          65.0       6.1
          68.0       1.5
          69.0      56.9
          70.0       3.6
          71.0       7.2
          73.0       2.3
          81.0       7.2
          83.0       2.4
          85.0      11.3
          87.0       2.2
          89.0       1.4
          90.0       1.3
          91.0      29.4
          92.0       3.2
          97.0      17.1
          98.0       2.2
          99.0       1.5
         100.0       1.6
         101.0       4.7
         107.0       1.4
         108.0       1.9
         109.0       6.6
         113.0       1.3
         115.0       3.1
         126.0       1.0
         127.0       3.8
         139.0       4.4
         143.0     100.0
         144.0       7.0
         145.0       1.1
         155.0      28.0
         156.0       2.5
         157.0       1.5
         184.0       3.7
         185.0       1.9
         201.0      85.9
         202.0       8.8
         203.0       1.3
         341.0      15.4
         342.0       2.7
         343.0       1.1
    

400 MHz in CDCl3


  • 1H NMR 399.65 MHz
    C16 H20 O7 S 0.037 g : 0.5 ml CDCl3
    1,6-anhydro-3,4-O-isopropylidene-2-O-tosyl-beta-D-galactopyranose
    ChemicalStructure
        Assign.     Shift(ppm)
    A 7.835 B 7.373 C 5.247 D 4.498 E 4.479 F 4.388 G 4.123 J *1 4.062 K *1 3.546 L 2.456 M *2 1.490 N *2 1.238 ASSIGNED BY H-H AND C-H COSY.

         Hz     ppm     Int.
    

       3137.82   7.852     58
       3135.86   7.847    317
       3134.16   7.843    124
       3129.15   7.830    141
       3127.56   7.826    361
       3125.61   7.821     73
       2951.05   7.385    244
       2950.44   7.383    273
       2942.38   7.363    258
       2941.77   7.361    226
       2097.17   5.248    240
       1804.44   4.516     62
       1798.58   4.501    127
       1792.97   4.487    102
       1790.28   4.480    278
       1789.79   4.479    278
       1760.62   4.406     91
       1753.78   4.389    127
       1747.31   4.373     81
       1651.25   4.132    135
       1643.92   4.114    120
       1627.56   4.073    148
       1619.75   4.053    158
       1423.83   3.563     87
       1418.46   3.550     94
       1416.26   3.544     93
       1410.89   3.531     83
        981.81   2.457   1000
        595.70   1.491    874
        494.87   1.239    861
        494.51   1.238    850
    

in CDCl3



KBr disc



nujol mull