-
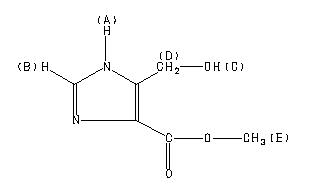
MS-IW-6659 methyl 5-hydroxymethyl-4-imidazolecarboxylate C6H8N2O3 (Mass of molecular ion: 156)
Source Temperature: 170 °C Sample Temperature: 150 °C Direct, 75 eV
15.0 7.8 17.0 2.0 18.0 10.2 26.0 1.0 27.0 1.2 28.0 9.3 29.0 2.6 31.0 3.5 39.0 2.0 40.0 6.4 41.0 3.9 42.0 8.5 43.0 1.1 44.0 1.6 45.0 1.2 52.0 5.4 53.0 4.9 54.0 1.3 59.0 1.3 67.0 5.6 68.0 9.9 69.0 6.1 70.0 2.7 79.0 4.0 80.0 2.1 94.0 1.1 95.0 34.2 96.0 25.0 97.0 5.8 107.0 16.8 108.0 2.0 109.0 2.6 121.0 1.5 123.0 48.0 124.0 100.0 125.0 14.1 126.0 1.3 127.0 14.1 128.0 1.0 139.0 1.8 141.0 4.0 155.0 9.1 156.0 30.1 157.0 4.4
400 MHz in DMSO-d6
-
1H NMR 399.65 MHz C6 H8 N2 O3 0.041 g : 0.5 ml DMSO-d6 methyl 5-hydroxymethyl-4-imidazolecarboxylate 
Assign. Shift(ppm)
A 12.7 B 7.67 C 5.4 D 4.77 E 3.755
Hz ppm Int.5063.03 12.669 29 3063.38 7.666 112 2177.65 5.449 34 1904.99 4.767 178 1904.57 4.766 178 1887.26 4.723 44 1884.48 4.716 35 1881.92 4.709 30 1881.27 4.708 28 1878.71 4.701 24 1876.79 4.697 21 1876.36 4.696 22 1500.92 3.756 1000
更多供应商




