-
MS-NW-6734 p-fluorophenylhydrazine hydrochloride C6H7FN2 HCl (Mass of molecular ion: 126)
Source Temperature: 150 °C Sample Temperature: 110 °C Direct, 75 eV
16.0 2.4 17.0 2.7 17.5 1.0 18.0 3.4 26.0 2.1 27.0 2.4 28.0 5.9 29.0 13.9 30.0 3.3 31.0 8.9 33.0 2.4 35.0 12.8 36.0 47.7 37.0 6.5 38.0 15.1 39.0 8.3 40.0 2.1 41.0 1.3 45.0 1.7 49.0 2.7 50.0 15.8 51.0 14.3 52.0 7.3 53.0 1.4 55.0 1.2 56.0 6.5 57.0 28.4 58.0 2.3 60.0 1.2 61.0 6.3 62.0 8.6 63.0 14.8 64.0 4.8 65.0 1.9 68.0 5.1 69.0 7.4 70.0 7.9 71.0 2.3 73.0 2.3 74.0 8.2 75.0 24.1 76.0 4.5 77.0 16.3 78.0 2.9 80.0 1.1 81.0 8.9 82.0 14.1 83.0 96.9 84.0 11.1 89.0 4.2 90.0 3.7 91.0 1.3 92.0 1.0 93.0 1.5 94.0 3.0 95.0 24.9 96.0 21.3 97.0 7.3 98.0 4.5 99.0 1.1 108.0 2.9 109.0 15.1 110.0 73.9 111.0 15.9 112.0 1.1 123.0 1.3 124.0 3.8 125.0 3.6 126.0 100.0 127.0 7.6
400 MHz in DMSO-d6
-
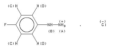
1H NMR 399.65 MHz C6 H7 F N2 0.034 g : 0.5 ml DMSO-d6 p-fluorophenylhydrazine hydrochloride 
Assign. Shift(ppm)
A 10.39 B 8.3 C 7.136 D 7.090
Hz ppm Int.4151.83 10.389 558 2866.37 7.173 36 2863.08 7.164 382 2860.69 7.158 142 2856.48 7.148 209 2854.10 7.142 1000 2852.27 7.137 200 2850.80 7.134 144 2849.52 7.131 72 2847.87 7.126 198 2845.31 7.120 866 2842.19 7.112 171 2838.53 7.103 810 2836.15 7.097 257 2833.77 7.091 882 2831.39 7.085 269 2829.37 7.080 380 2826.99 7.074 156 2824.61 7.068 300 2821.50 7.060 40
更多供应商






