图谱信息 供应商 相关产品
网站主页CAS数据库列表 83-15-8更多图谱4-乙酰氨基安替比林(83-15-8)质谱(MS)

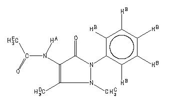
4-乙酰氨基安替比林

产品名称 4-乙酰氨基安替比林

CAS号83-15-8

分子式C13H15N3O2

分子量245.28

展开


  • Mass

    MS-NW-6153          
    4-acetamidoantipyrine
    C13H15N3O2          (Mass of molecular ion:    245)
    

       Source Temperature: 150 °C
       Sample Temperature: 150 °C
       Direct, 75 eV
    

          15.0       7.6
          17.0       2.3
          18.0      11.5
          27.0       2.4
          28.0       5.3
          29.0       2.4
          30.0       2.2
          36.0       1.1
          38.0       1.0
          39.0       2.0
          41.0       1.6
          42.0       9.3
          43.0      16.7
          44.0       1.0
          49.0       1.3
          50.0       1.0
          51.0       3.8
          52.0       1.6
          54.0       3.1
          55.0       3.1
          56.0     100.0
          57.0      28.8
          58.0       2.5
          63.0       1.2
          64.0       2.7
          65.0       2.2
          67.0       1.0
          77.0       7.1
          78.0       1.2
          82.0       1.3
          83.0      30.2
          84.0      61.3
          85.0       3.3
          86.0       4.8
          91.0       3.7
          92.0       1.5
          93.0       3.8
         101.0       1.3
         109.0       1.2
         118.0       1.0
         119.0       2.3
         120.0       1.4
         126.0       1.3
         137.0       1.0
         202.0       7.7
         203.0      24.9
         204.0       3.1
         230.0       1.4
         245.0      58.2
         246.0       9.6
         247.0       1.0
    

90 MHz in CDCl3


  • 1H NMR 89.56 MHz
    C13 H15 N3 O2 0.041 g : 0.5 ml CDCl3
    4-acetamidoantipyrine
    ChemicalStructure
        Assign.     Shift(ppm)
    A 9.65 B 7.61 to 7.17 C 3.083 D *1 2.196 E *1 2.035

         Hz     ppm     Int.
    

        864.69   9.655     71
        864.31   9.651     71
        670.19   7.484     44
        668.50   7.465     56
        666.44   7.442     79
        662.56   7.398    314
        660.94   7.380    363
        656.75   7.334     88
        655.38   7.318     47
        654.63   7.310     55
        654.00   7.303     70
        652.13   7.282     52
        276.13   3.084   1000
        196.69   2.197    715
        182.25   2.035    806
    

in CDCl3



KBr disc



nujol mull