-
MS-NW-8854 3-methylindole C9H9N (Mass of molecular ion: 131)
Source Temperature: 260 °C Sample Temperature: 140 °C Reservoir, 75 eV
28.0 1.1 39.0 2.3 50.0 2.6 51.0 6.7 52.0 2.7 62.0 1.1 63.0 2.7 64.0 4.9 65.0 7.3 65.5 2.9 74.0 1.7 75.0 2.5 76.0 2.8 77.0 14.6 78.0 2.1 89.0 1.2 90.0 1.0 101.0 1.5 102.0 5.3 103.0 10.1 104.0 1.7 117.0 1.1 128.0 3.2 129.0 2.3 130.0 100.0 131.0 62.3 132.0 5.8
400 MHz in CDCl3
-
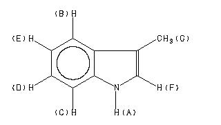
1H NMR 399.65 MHz C9 H9 N 0.038 g : 0.5 ml CDCl3 3-methylindole 
Assign. Shift(ppm)
A 7.6 B 7.571 C 7.249 D 7.174 E 7.116 F 6.853 G 2.313
Hz ppm Int.2903.20 7.265 70 2902.34 7.263 102 2901.37 7.260 79 2895.26 7.245 114 2894.29 7.243 178 2893.31 7.240 127 2875.24 7.195 67 2874.02 7.192 76 2868.29 7.178 111 2867.07 7.174 133 2860.35 7.158 80 2859.01 7.154 76 2850.83 7.134 119 2849.61 7.131 120 2843.87 7.116 79 2843.02 7.114 141 2841.92 7.112 115 2836.06 7.097 63 2834.96 7.094 60 2740.48 6.858 109 2739.38 6.855 143 2738.28 6.852 145 2737.18 6.849 115 924.93 2.315 883 923.83 2.312 1000
更多供应商







