图谱信息 供应商 相关产品
网站主页CAS数据库列表 83-88-5更多图谱维生素B2(83-88-5)核磁图(13CNMR)

维生素B2

产品名称 维生素B2

CAS号83-88-5

分子式C17H20N4O6

分子量376.36

展开


  • Mass

    MS-NW-0520          
    riboflavin
    C17H20N4O6          (Mass of molecular ion:    376)
    

       Source Temperature: 210 °C
       Sample Temperature: 170 °C
       Direct, 75 eV
    

          15.0       1.1
          18.0       4.3
          27.0       4.6
          28.0       8.6
          29.0       7.3
          30.0     100.0
          31.0       1.8
          35.0       2.5
          36.0      17.3
          38.0       6.5
          41.0       2.0
          42.0       1.9
          43.0       2.7
          45.0       1.3
          55.0       1.6
          57.0       2.6
          60.0       1.4
          69.0       1.7
          71.0       1.2
          83.0       1.1
          86.0       4.3
         103.0       2.3
    

400 MHz in DMSO-d6


  • 1H NMR 399.65 MHz
    C17 H20 N4 O6 saturated in DMSO-d6
    riboflavin
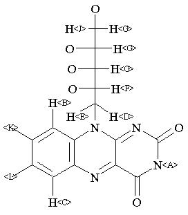
    ChemicalStructure
        Assign.     Shift(ppm)
    A 11.35 B 7.895 C 7.851 D *1 4.919 E *1 4.601 F 4.248 G 3.67 to 3.62 J 3.466 K *2 2.467 L *2 2.387 ASSIGNED BY C-H AND H-H COSY. J(D,E) = -12.8 HZ.

         Hz     ppm     Int.
    

       4537.58  11.354    345
       3155.23   7.895    279
       3137.64   7.851    355
       1979.11   4.953     31
       1978.20   4.950     31
       1977.83   4.949     31
       1977.47   4.949     31
       1976.73   4.947     30
       1976.18   4.945     30
       1968.49   4.926     46
       1967.76   4.924     47
       1967.02   4.922     47
       1966.11   4.920     48
       1965.56   4.919     47
       1964.46   4.916     45
       1960.98   4.907     35
       1960.25   4.905     35
       1959.70   4.904     35
       1959.33   4.903     35
       1958.60   4.901     36
       1956.40   4.896     40
       1955.67   4.894     40
       1844.67   4.616     81
       1832.95   4.587     70
       1832.58   4.586     70
       1831.85   4.584     69
       1831.30   4.583     69
       1702.53   4.261     90
       1699.60   4.253     73
       1696.12   4.245     70
       1693.01   4.237     88
       1470.28   3.679     31
       1467.16   3.672     43
       1466.80   3.671     42
       1463.13   3.662    166
       1460.94   3.656    196
       1457.09   3.646    311
       1453.06   3.636    306
       1446.47   3.620     70
       1392.80   3.486     82
       1387.67   3.473    101
       1382.36   3.459    103
       1377.78   3.448     50
       1375.95   3.443     50
        994.23   2.488     43
        986.90   2.470   1000
        978.29   2.448     39
        954.30   2.388    952
    

in DMSO-d6



KBr disc



nujol mull