-
MS-NW-7353 2,4,6-trimethoxybenzaldehyde C10H12O4 (Mass of molecular ion: 196)
Source Temperature: 150 °C Sample Temperature: 120 °C Direct, 75 eV
15.0 3.1 27.0 1.6 28.0 1.0 29.0 2.5 37.0 1.1 38.0 3.5 39.0 6.7 41.0 1.9 43.0 1.6 50.0 5.4 51.0 8.1 52.0 4.7 53.0 5.4 54.0 1.0 55.0 1.7 59.0 5.3 61.0 2.0 62.0 5.8 63.0 9.3 64.0 3.4 65.0 5.1 66.0 4.1 67.0 1.9 69.0 16.7 74.0 1.8 75.0 2.4 76.0 1.7 77.0 5.9 78.0 4.6 79.0 5.7 80.0 2.5 81.0 2.4 82.0 1.2 83.0 1.3 90.0 1.8 91.0 3.2 92.0 3.4 93.0 3.8 94.0 2.4 95.0 5.3 96.0 1.5 105.0 1.7 106.0 20.0 107.0 6.5 108.0 3.7 109.0 7.2 110.0 2.4 120.0 5.3 121.0 11.7 122.0 6.1 123.0 3.3 124.0 2.7 125.0 6.3 134.0 4.3 135.0 11.3 136.0 2.4 137.0 13.4 138.0 3.3 139.0 10.1 140.0 1.0 148.0 3.1 149.0 8.0 150.0 16.8 151.0 14.0 152.0 11.5 153.0 3.8 154.0 2.2 163.0 5.1 164.0 3.0 165.0 13.7 166.0 3.2 167.0 13.7 168.0 3.2 177.0 1.8 178.0 18.2 179.0 52.9 180.0 18.7 181.0 8.3 182.0 1.0 195.0 62.0 196.0 100.0 197.0 12.3 198.0 1.6
parameter in CDCl3
90 MHz in CDCl3
400 MHz in CDCl3
-
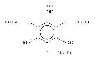
1H NMR 300 MHz C10 H12 O4 0.042 g : 0.5 ml CDCl3 2,4,6-trimethoxybenzaldehyde 
Parameter ppm Hz
D(A) 10.351 D(B) 6.078 D(C) 3.880 D(D) 3.875
Hz ppm Int.3105.31 10.351 162 1823.38 6.078 324 1164.03 3.880 1000 1162.53 3.875 542
-
1H NMR 89.56 MHz C10 H12 O4 0.049 g : 0.5 ml CDCl3 2,4,6-trimethoxybenzaldehyde 
Assign. Shift(ppm)
A 10.4 B 6.076 C 3.87
Hz ppm Int.544.26 6.078 219 347.09 3.876 1000 343.14 3.832 32 342.99 3.830 32
-
1H NMR 399.65 MHz C10 H12 O4 0.042 g : 0.5 ml CDCl3 2,4,6-trimethoxybenzaldehyde 
Assign. Shift(ppm)
A 10.351 B 6.078 C 3.880 D 3.875
Hz ppm Int.4136.63 10.351 175 2428.97 6.078 320 1564.43 3.915 27 1562.23 3.909 22 1550.50 3.880 1000 1548.31 3.875 613 1536.95 3.846 23
更多供应商








