图谱信息 供应商 相关产品
网站主页CAS数据库列表 83081-75-8更多图谱1-(2-乙氧苯基)哌嗪盐酸盐(83081-75-8)核磁图(1HNMR)

1-(2-乙氧苯基)哌嗪盐酸盐

产品名称 1-(2-乙氧苯基)哌嗪盐酸盐

CAS号83081-75-8

分子式C12H19ClN2O

分子量242.75


  • Mass

    MS-IW-0031          
    1-(o-ethoxyphenyl)piperazine monohydrochloride
    C12H18N2O HCl       (Mass of molecular ion:    206)
    

       Source Temperature: 170 °C
       Sample Temperature: 120 °C
       Direct, 75 eV
    

          18.0       4.5
          27.0       1.6
          28.0       5.5
          29.0       4.2
          30.0       2.7
          35.0       1.2
          36.0      14.1
          38.0       4.6
          39.0       1.8
          41.0       1.1
          42.0       3.1
          43.0       1.0
          51.0       1.4
          56.0       9.0
          57.0       3.4
          58.0       3.5
          65.0       4.7
          77.0       3.5
          78.0       1.2
          79.0       1.3
          91.0       1.9
          92.0       1.5
          93.0       3.2
          94.0       1.0
         106.0       1.6
         107.0       1.9
         108.0       1.5
         120.0      13.6
         121.0       2.0
         122.0       3.1
         132.0       1.1
         134.0      18.3
         135.0       7.9
         136.0       3.2
         148.0       2.4
         149.0      13.6
         150.0       4.1
         151.0       1.7
         164.0     100.0
         165.0      11.6
         206.0      53.6
         207.0       7.7
    

400 MHz in CDCl3


  • 1H NMR 399.65 MHz
    C12 H18 N2 O 0.038 g : 0.5 ml CDCl3
    1-(o-ethoxyphenyl)piperazine monohydrochloride
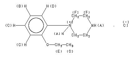
    ChemicalStructure
        Assign.     Shift(ppm)
    A 9.75 B 7.03 C 6.91 D 6.86 E 4.056 F 3.42 G 1.442 CONFIRMED BY LAOCN PROGRAM

         Hz     ppm     Int.
    

       3897.09   9.752     32
       2815.55   7.046     70
       2811.89   7.036     88
       2810.21   7.032     81
       2807.46   7.025    109
       2806.55   7.023    121
       2804.26   7.017    106
       2801.97   7.012    107
       2798.46   7.003    132
       2768.10   6.927     56
       2763.52   6.915    537
       2760.31   6.907    286
       2758.64   6.903    213
       2757.57   6.900    183
       2750.70   6.883     35
       2749.63   6.881     43
       2746.43   6.873    262
       2738.65   6.853    184
       1631.62   4.083    135
       1624.60   4.066    449
       1617.58   4.048    454
       1610.72   4.031    145
       1372.07   3.434    569
       1365.97   3.418    609
       1360.32   3.404    317
        583.50   1.461    483
        576.48   1.443   1000
        569.61   1.426    470
    

in CDCl3



KBr disc



nujol mull