图谱信息 供应商 相关产品
网站主页CAS数据库列表 832-69-9更多图谱1-甲基菲(832-69-9)质谱(MS)

1-甲基菲

产品名称 1-甲基菲

CAS号832-69-9

分子式C15H12

分子量192.26

展开


  • Mass

    MS-NW-0117          
    1-methylphenanthrene
    C15H12              (Mass of molecular ion:    192)
    

       Source Temperature: 180 °C
       Sample Temperature:   0 °C
       Direct, 75 eV
    

          39.0       1.4
          50.0       1.0
          51.0       1.4
          62.0       1.2
          63.0       2.8
          69.5       1.0
          74.0       1.8
          75.0       1.7
          81.5       1.3
          82.0       1.0
          82.5       2.6
          86.0       1.3
          87.0       1.8
          94.5       2.4
          95.0       1.4
          96.0       1.8
          98.0       1.1
         115.0       1.4
         139.0       2.5
         150.0       1.9
         151.0       1.7
         152.0       2.3
         163.0       4.5
         164.0       2.7
         165.0      15.8
         166.0       2.3
         176.0       3.2
         187.0       2.7
         188.0       2.1
         189.0      19.1
         190.0       9.7
         191.0      37.8
         192.0     100.0
         193.0      17.0
         194.0       1.3
    

400 MHz in CDCl3

parameter in CCl4


  • 1H NMR 399.65 MHz
    C15 H12 1.1 mg : 0.5 ml CDCl3
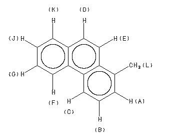
    1-methylphenanthrene
    ChemicalStructure
        Assign.     Shift(ppm)
    A 8.717 B 8.598 C 7.969 D 7.910 E 7.798 F 7.657 G 7.603 J 7.557 K 7.460 L 2.769 J(C,E)=9.2HZ.

         Hz     ppm     Int.
    

       3488.53   8.729     84
       3487.92   8.728    108
       3487.43   8.727    105
       3487.18   8.726    105
       3486.69   8.725     83
       3480.35   8.709     86
       3479.74   8.707    114
       3479.00   8.706    113
       3442.38   8.614     46
       3440.67   8.610    101
       3432.74   8.590    109
       3432.37   8.589    103
       3190.19   7.983    147
       3189.58   7.981    139
       3180.91   7.960    192
       3180.30   7.958    182
       3165.53   7.921    104
       3164.67   7.919     87
       3163.94   7.917     95
       3157.71   7.902    128
       3156.13   7.898    116
       3120.48   7.809    187
       3111.57   7.786    149
       3069.34   7.681     66
       3067.75   7.677     64
       3062.26   7.663    121
       3060.79   7.659    145
       3059.57   7.656     67
       3054.08   7.642    122
       3052.49   7.638    107
       3045.53   7.621    145
       3044.19   7.618    156
       3038.57   7.604     94
       3037.72   7.601    141
       3036.50   7.598    132
       3030.76   7.584     81
       3029.42   7.581     82
       3028.20   7.578    104
       3021.12   7.560    150
       3019.90   7.557    111
       3012.70   7.539    142
       2986.21   7.473     44
       2985.23   7.470    108
       2984.13   7.467    140
       2983.28   7.465    110
       2982.42   7.463     41
       2979.13   7.455     33
       2978.15   7.452     82
       2977.05   7.450    102
       2976.07   7.447     79
       1110.11   2.778     53
       1107.42   2.771   1000
    


  • 1H NMR 300 MHz
    C15 H12 in CCl4
    1-methylphenanthrene
    ChemicalStructure
        Parameter     ppm  Hz
    D(A) 7.355 D(B) 7.45 D(C) 8.53 D(D) 7.705 D(E) 7.88 J(A,B) 7.1 J(A,C) 1.0 J(A,D) 0.0 J(A,E) 0.0 J(B,C) 8.2 J(B,D) 0.0 J(B,E) 0.0 J(C,D) 0.0 J(C,E) 0.6 J(D,E) 9.1 D(F) 8.635 D(G) 7.57 D(J) 7.505 D(K) 7.815 J(F,G) 8.8 J(F,J) 1.1 J(F,K) 0.5 J(G,J) 6.9 J(G,K) 2.1 J(J,K) 7.7 D(L) 2.735 BARTLE,K.D. & SMITH,J.A.S. SPECTROCHIM.ACTA 23A, 1689 (1967)

         Hz     ppm     Int.
    

       2595.37   8.651     66
       2594.27   8.648     72
       2587.22   8.624     59
       2586.67   8.622     65
       2585.85   8.619     71
       2563.38   8.545     71
       2562.88   8.543     70
       2555.28   8.518     74
       2554.79   8.516     74
       2369.18   7.897     91
       2368.74   7.896     90
       2360.10   7.867    128
       2359.66   7.866    128
       2349.44   7.831     56
       2347.58   7.825     53
       2346.98   7.823     52
       2342.11   7.807     72
       2339.98   7.800     69
       2315.64   7.719    195
       2306.62   7.689    139
       2280.42   7.601     31
       2278.23   7.594     33
       2273.48   7.578     62
       2271.29   7.571     60
       2269.59   7.565     31
       2265.00   7.550     65
       2262.70   7.542     55
       2258.60   7.529     66
       2257.29   7.524     71
       2251.11   7.504     66
       2249.85   7.499     67
       2244.16   7.481     38
       2242.96   7.477     95
       2235.91   7.453    112
       2234.92   7.450     72
       2227.87   7.426    104
       2210.15   7.367    114
       2209.11   7.364    117
       2203.04   7.343     73
       2202.00   7.340     68
        820.48   2.735   1000
    

in CDCl3



KBr disc



nujol mull