图谱信息 供应商 相关产品
网站主页CAS数据库列表 84-02-6更多图谱丙氯拉嗪(84-02-6)红外图谱(IR1)

丙氯拉嗪

产品名称 丙氯拉嗪

CAS号84-02-6

分子式C28H32ClN3O8S

分子量606.09

展开


  • Mass

    MS-IW-4301          
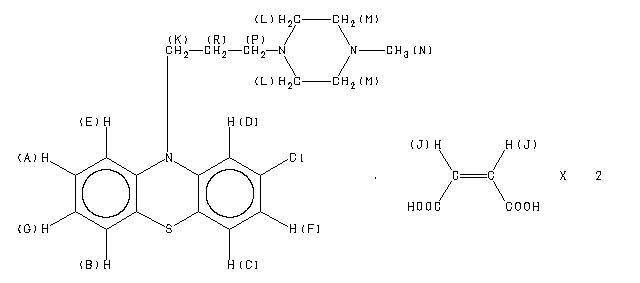
    2-chloro-10-(3-(4-methyl-1-piperazinyl)propyl)phenothiazine dimaleate
    1/2C20H24ClN3S C4H4O4(Mass of molecular ion:    373)
    

       Source Temperature: 210 °C
       Sample Temperature: 200 °C
       Direct, 75 eV
    

          15.0       1.1
          17.0       1.3
          18.0       7.2
          25.0       1.3
          26.0      10.8
          27.0       5.3
          28.0       5.6
          29.0       1.7
          30.0       1.3
          36.0       1.0
          39.0       1.2
          41.0       4.4
          42.0      14.7
          43.0      21.1
          44.0      12.7
          45.0       7.4
          46.0       1.5
          53.0       2.4
          54.0       9.6
          55.0       5.6
          56.0       8.4
          57.0       5.9
          58.0      12.4
          59.0       1.0
          63.0       1.0
          68.0       1.5
          69.0       2.3
          70.0      75.4
          71.0      19.9
          72.0      12.3
          77.0       1.2
          82.0       3.2
          83.0       4.9
          84.0       7.2
          85.0       8.9
          86.0       1.4
          95.0       1.1
          96.0       3.7
          97.0       6.7
          98.0      10.7
          99.0       8.1
         100.0       1.4
         111.0      12.5
         112.0       2.3
         113.0     100.0
         114.0      12.2
         124.0       1.1
         125.0       1.8
         126.0       1.5
         127.0      22.1
         128.0       2.1
         138.0       1.4
         139.0       6.1
         140.0       3.5
         141.0      61.7
         142.0       5.9
         152.0       1.6
         153.0       1.3
         154.0       1.4
         164.0       1.0
         166.0       1.6
         167.0       1.9
         171.0       1.0
         178.0       1.2
         179.0       1.1
         188.0       1.3
         196.0       2.6
         197.0       3.4
         198.0       7.3
         199.0       2.3
         200.0       1.7
         201.0       2.6
         210.0       1.6
         211.0       2.6
         212.0       7.1
         213.0       2.9
         214.0       9.0
         215.0       1.9
         216.0       2.9
         223.0       1.6
         232.0      12.6
         233.0      18.9
         234.0       7.2
         235.0       7.2
         236.0       1.7
         237.0       1.2
         238.0       2.1
         239.0       1.4
         246.0      10.6
         247.0      10.1
         248.0       5.3
         249.0       3.8
         258.0       1.7
         259.0       4.1
         260.0       7.0
         261.0       2.5
         262.0       2.4
         272.0      16.6
         273.0      13.9
         274.0       8.4
         275.0       5.3
         276.0       1.2
         302.0       1.5
         303.0       1.1
         316.0       6.0
         317.0       1.6
         318.0       2.3
         329.0       3.6
         330.0       1.5
         331.0       1.8
         338.0       4.0
         339.0       1.4
         371.0       5.3
         372.0       1.7
         373.0      91.7
         374.0      22.3
         375.0      35.1
         376.0       8.0
         377.0       2.2
    

400 MHz in DMSO-d6 at 60.C

400 MHz in DMSO-d6


  • 1H NMR 399.65 MHz
    C20 H24 Cl N3 S 0.038 g : 0.5 ml DMSO-d6 at 60C
    2-chloro-10-(3-(4-methyl-1-piperazinyl)propyl)phenothiazine dimaleate
    ChemicalStructure
        Assign.     Shift(ppm)
    A 7.223 B 7.148 C 7.134 D 7.06 E 7.05 F 6.981 G 6.98 J 6.147 K 3.949 L *1 3.05 M *1 2.71 N 2.684 P 2.624 R 1.866 HSP-44-317 AT ROOM TEMP. J(C,F)=8.4HZ J(E,F)=2.0HZ

         Hz     ppm     Int.
    

       2888.55   7.228     33
       2887.70   7.226     44
       2887.08   7.225     46
       2886.23   7.222     44
       2880.49   7.208     34
       2878.91   7.204     38
       2862.30   7.163     49
       2860.96   7.159     52
       2855.47   7.145    118
       2854.86   7.144     99
       2853.39   7.140     69
       2847.41   7.125    124
       2823.49   7.065     63
       2819.34   7.055     88
       2817.26   7.050    111
       2795.53   6.995     49
       2794.43   6.993    108
       2792.36   6.988     70
       2788.09   6.977     62
       2786.87   6.974     74
       2786.25   6.972     82
       2784.18   6.967     57
       2780.64   6.958     30
       2779.54   6.955     30
       2456.79   6.148   1000
       1585.08   3.967     49
       1578.37   3.950     92
       1571.53   3.933     52
       1218.87   3.050     96
       1080.93   2.705     82
       1072.88   2.685    448
       1056.15   2.643     53
       1049.07   2.625     88
       1041.87   2.607     55
        752.81   1.884     43
        745.73   1.866     60
        738.89   1.849     42
    


  • 1H NMR 399.65 MHz
    C20 H24 Cl N3 S 0.038 g : 0.5 ml DMSO-d6
    2-chloro-10-(3-(4-methyl-1-piperazinyl)propyl)phenothiazine dimaleate
    ChemicalStructure
        Assign.     Shift(ppm)
    A 7.243 B 7.179 C 7.168 D 7.09 E 7.08 F 7.011 G 6.996 J 6.173 K 3.946 L *1 3.08 M *1 2.7 N 2.706 P 2.631 R 1.861 HSP-44-325 AT 60C

         Hz     ppm     Int.
    

       2896.24   7.247     30
       2895.39   7.245     38
       2894.90   7.244     39
       2894.04   7.242     36
       2886.72   7.224     32
       2874.39   7.193     50
       2872.92   7.189     51
       2869.14   7.180    112
       2866.70   7.174     67
       2865.23   7.170     58
       2860.96   7.159    138
       2835.33   7.095     80
       2833.25   7.090    112
       2824.34   7.068     39
       2823.61   7.066     38
       2807.01   7.024     69
       2804.93   7.019     62
       2803.22   7.015     38
       2802.12   7.012     35
       2798.83   7.004     56
       2796.75   6.998     60
       2795.78   6.996     59
       2794.68   6.993     51
       2467.04   6.174   1000
       1584.23   3.965     32
       1577.51   3.948     62
       1570.80   3.931     34
       1081.67   2.707    298
       1058.47   2.649     36
       1051.51   2.632     56
       1044.31   2.614     36
        743.90   1.862     39
    

in DMSO-d6



KBr disc



nujol mull