图谱信息 供应商 相关产品
网站主页CAS数据库列表 84-17-3更多图谱2,3-二苯酚丁二烯(84-17-3)红外图谱(IR2)

2,3-二苯酚丁二烯

产品名称 2,3-二苯酚丁二烯

CAS号84-17-3

分子式C18H18O2

分子量266.33

展开


  • Mass

    MS2004-02324WA      
    4,4'-(diethylideneethylene)diphenol
    C18H18O2            (Mass of molecular ion:    266)
    

       Source Temperature: 250 °C
       Sample Temperature:  20 °C
       Direct, 70 eV
    

          18.0       1.8
          39.0       2.0
          43.0       1.0
          51.0       1.7
          55.0       2.7
          63.0       1.6
          65.0       2.7
          76.0       1.3
          77.0       8.3
          78.0       1.5
          79.0       2.7
          88.0       1.0
          89.0       2.9
          91.0       4.5
          94.0       1.8
          94.5       1.3
          95.0       1.0
          97.0       1.2
         101.0       2.5
         102.0       1.4
         103.0       5.2
         104.0       1.3
         105.0       4.5
         107.0      16.0
         108.0       1.5
         109.0       1.9
         115.0       8.4
         116.0       2.9
         117.0       1.6
         118.0       4.0
         119.0       2.6
         121.0      24.9
         122.0       2.3
         125.0       1.5
         125.5       1.0
         127.0       4.9
         128.0       4.6
         129.0       2.6
         131.0       6.4
         132.0       2.1
         133.0       7.9
         134.0       1.2
         139.0       1.5
         141.0       1.6
         143.0       1.4
         144.0       4.3
         145.0      22.1
         146.0       2.9
         151.0       1.4
         152.0       4.5
         153.0       2.2
         155.0       1.4
         157.0       9.0
         158.0       6.7
         159.0       4.7
         160.0       1.1
         165.0       4.5
         166.0       1.2
         171.0       2.9
         172.0       6.5
         173.0       8.0
         174.0       1.1
         176.0       1.3
         177.0       1.2
         178.0       2.6
         179.0       1.5
         181.0       4.8
         182.0       1.2
         189.0       3.2
         190.0       1.9
         191.0       2.6
         194.0       2.7
         195.0       2.5
         201.0       2.0
         202.0       2.8
         203.0       1.9
         205.0       2.4
         206.0       1.1
         207.0       4.5
         208.0       3.4
         209.0       4.1
         210.0      14.4
         211.0       2.9
         215.0       2.7
         218.0       5.1
         219.0       5.4
         220.0       1.9
         221.0       2.3
         222.0       1.9
         223.0       5.4
         224.0       1.5
         231.0       2.2
         232.0       1.6
         233.0       4.8
         234.0       4.2
         235.0       4.1
         236.0      13.3
         237.0      35.3
         238.0       7.6
         239.0       3.6
         247.0       1.4
         248.0       1.0
         249.0       7.4
         250.0       6.8
         251.0      50.4
         252.0       9.6
         253.0       1.4
         264.0       2.5
         265.0       7.5
         266.0     100.0
         267.0      19.6
         268.0       2.3
         282.0       1.2
    

400 MHz in CDCl3


  • 1H NMR 399.65 MHz
    C18 H18 O2 0.037 g : 0.5 ml DMSO-d6
    4,4'-(diethylideneethylene)diphenol
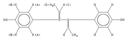
    ChemicalStructure
        Assign.     Shift(ppm)
    A 7.458 B 7.305 C 5.779 D 1.974

         Hz     ppm     Int.
    

       2985.60   7.471    592
       2981.08   7.460     94
       2977.17   7.450    783
       2923.34   7.315    776
       2914.79   7.294    630
       2319.82   5.805     70
       2316.89   5.798     38
       2313.11   5.788    251
       2309.57   5.779     47
       2306.40   5.772    246
       2302.49   5.762     36
       2301.51   5.759     36
       2299.56   5.754     68
       2299.32   5.754     68
        800.42   2.003     34
        799.93   2.002     37
        792.36   1.983   1000
        785.77   1.967    946
    

in CDCl3

in DMSO-d6





KBr disc



nujol mull