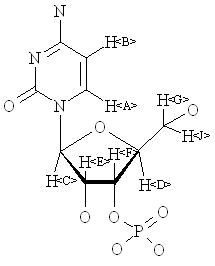
400 MHz in D2O
-
1H NMR 399.65 MHz C9 H14 N3 O8 P saturated in D2O cytidine 3'-monophosphate 
Assign. Shift(ppm)
A 8.111 B 6.22 C 5.928 D 4.56 E 4.448 F 4.311 G *1 3.954 J *1 3.847 THE SOLVENT SIGNAL SUPPRESSED.
Hz ppm Int.3245.85 8.122 951 3243.29 8.116 210 3242.19 8.113 185 3241.70 8.112 185 3241.21 8.111 181 3238.04 8.103 1000 3233.89 8.092 136 2489.50 6.230 363 2483.40 6.214 339 2371.95 5.936 812 2368.16 5.926 837 2364.14 5.916 151 1781.98 4.459 493 1777.71 4.449 697 1772.95 4.437 443 1725.59 4.318 467 1723.51 4.313 503 1720.46 4.305 453 1576.05 3.944 596 1573.49 3.938 577 1546.75 3.871 649 1543.09 3.862 742 1530.15 3.829 513
更多供应商




