图谱信息 供应商 相关产品
网站主页CAS数据库列表 84-74-2更多图谱邻苯二甲酸二丁酯(84-74-2)Raman光谱

邻苯二甲酸二丁酯

产品名称 邻苯二甲酸二丁酯

CAS号84-74-2

分子式C16H22O4

分子量278.34

展开


  • Mass

    MS-NW-5507          
    dibutyl phthalate
    C16H22O4            (Mass of molecular ion:    278)
    

       Source Temperature: 260 °C
       Sample Temperature: 180 °C
       Reservoir, 75 eV
    

          27.0       2.3
          29.0       9.1
          39.0       1.9
          41.0       7.9
          50.0       1.4
          55.0       1.4
          56.0       5.3
          57.0       5.9
          65.0       2.6
          76.0       3.6
          77.0       1.0
          93.0       2.1
         104.0       3.7
         105.0       2.2
         121.0       1.9
         122.0       1.5
         149.0     100.0
         150.0       9.3
         151.0       1.0
         205.0       4.4
         223.0       4.8
    

90 MHz in CDCl3


  • 1H NMR 89.56 MHz
    C16 H22 O4 0.04 ml : 0.5 ml CDCl3
    dibutyl phthalate
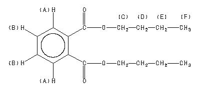
    ChemicalStructure
        Assign.     Shift(ppm)
    A 7.70 B 7.53 C 4.303 D 1.70 E 1.44 F 0.97 J(C,D)=6.5HZ.

         Hz     ppm     Int.
    

        695.88   7.770    187
        692.63   7.734    220
        690.81   7.714    168
        689.63   7.701    260
        687.00   7.671    393
        686.56   7.666    404
        683.06   7.627    133
        680.38   7.597    134
        676.81   7.558    385
        676.44   7.553    369
        673.81   7.524    191
        672.63   7.511    164
        670.94   7.492    211
        667.56   7.454    188
        392.38   4.382    369
        385.88   4.309   1000
        379.38   4.237    517
        169.44   1.892     34
        167.75   1.874     46
        162.75   1.818     82
        161.31   1.802    120
        159.00   1.776     72
        158.56   1.771     68
        156.88   1.752     70
        154.63   1.727    244
        152.56   1.704    140
        148.44   1.658    218
        147.44   1.647    219
        145.75   1.628    153
        144.06   1.609     98
        141.88   1.585    138
        140.56   1.570    134
        139.38   1.557    160
        138.63   1.548    171
        137.06   1.531     46
        136.75   1.527     45
        135.75   1.516     52
        134.50   1.502    122
        132.88   1.484    184
        131.25   1.466    199
        129.81   1.450     60
        129.69   1.449     60
        128.56   1.436     73
        127.25   1.421    158
        126.63   1.414    120
        124.44   1.390    180
        123.06   1.375     93
        122.13   1.364     63
        120.81   1.349     69
        117.81   1.316    168
        116.75   1.304     94
        111.31   1.243     75
         93.38   1.043    274
         92.38   1.032    467
         91.81   1.026    441
         88.50   0.989     46
         87.94   0.982     41
         85.88   0.959    982
         84.56   0.945    344
         79.50   0.888    146
         78.38   0.876    211
         76.63   0.856    109
    

in CDCl3



CCl4 solution



Liquid film