图谱信息 供应商 相关产品
网站主页CAS数据库列表 85-31-4更多图谱6-硫基鸟嘌呤(85-31-4)红外图谱(IR1)

6-硫基鸟嘌呤

产品名称 6-硫基鸟嘌呤

CAS号85-31-4

分子式C10H13N5O4S

分子量299.31

展开


  • Mass

    MS-NW-9050          
    (-)-2-amino-6-mercaptopurine riboside
    C10H13N5O4S         (Mass of molecular ion:    299)
    

       Source Temperature: 230 °C
       Sample Temperature: 220 °C
       Direct, 75 eV
    

          15.0       1.5
          17.0       4.9
          18.0      26.8
          19.0       2.6
          27.0       3.6
          28.0      12.0
          29.0       5.8
          30.0       1.1
          31.0       4.7
          32.0       2.9
          33.0       2.3
          34.0       6.9
          38.0       1.0
          39.0       2.1
          40.0       1.5
          41.0       2.9
          42.0       3.2
          43.0      15.7
          44.0       6.7
          45.0       5.1
          47.0       1.5
          53.0       4.8
          54.0       3.6
          55.0       5.5
          56.0       2.7
          57.0      18.4
          58.0       2.8
          59.0       1.3
          60.0       8.3
          61.0       3.7
          64.0       5.4
          65.0       1.3
          66.0       1.2
          68.0       6.9
          69.0       3.7
          70.0       3.0
          71.0       7.5
          72.0       3.0
          73.0      11.5
          74.0       1.8
          76.0       1.0
          80.0       2.3
          81.0       4.2
          82.0       1.9
          83.0       1.6
          84.0       1.1
          85.0       6.4
          86.0       3.4
          92.0       2.4
          96.0       1.3
          97.0       3.3
          98.0       6.4
          99.0       1.1
         107.0       5.9
         108.0       5.2
         109.0       8.8
         110.0       1.3
         112.0       2.7
         113.0       1.2
         114.0       1.5
         115.0       1.8
         123.0       1.0
         125.0      16.6
         126.0       4.2
         127.0       1.2
         128.0       1.3
         133.0       2.8
         134.0      17.3
         135.0       2.0
         139.0       7.2
         140.0       1.5
         150.0       4.8
         151.0       4.5
         152.0       1.3
         160.0       1.8
         166.0       1.5
         167.0     100.0
         168.0      10.9
         169.0       5.2
         192.0       1.1
         196.0       1.0
         210.0       1.1
         299.0       1.1
    

400 MHz in DMSO-d6


  • 1H NMR 399.65 MHz
    C10 H13 N5 O4 S 0.035 g : 0.5 ml DMSO-d6
    (-)-2-amino-6-mercaptopurine riboside
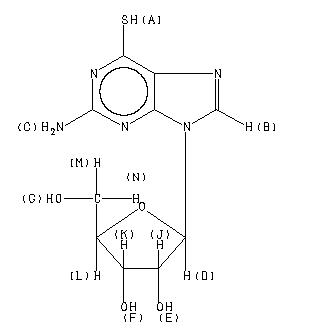
    ChemicalStructure
        Assign.     Shift(ppm)
    A 12.0 B 8.164 C 6.84 D 5.715 E 5.465 F 5.177 G 5.055 J 4.412 K 4.114 L 3.902 M 3.639 N 3.553 ASSIGNED BY H-H COSY

         Hz     ppm     Int.
    

       4793.46  11.995    338
       3262.74   8.164   1000
       2733.03   6.839    143
       2287.02   5.723    395
       2281.16   5.708    407
       2187.37   5.474    376
       2181.51   5.459    381
       2071.61   5.184    357
       2066.85   5.172    359
       2026.00   5.070    143
       2020.51   5.056    320
       2015.20   5.043    144
       1771.95   4.434     91
       1766.27   4.420    210
       1760.96   4.407    215
       1755.28   4.393     95
       1650.88   4.131     94
       1646.30   4.120    191
       1642.45   4.110    197
       1637.69   4.098     93
       1565.16   3.917     90
       1561.31   3.907    252
       1557.46   3.898    246
       1553.62   3.888     88
       1466.61   3.670     55
       1462.40   3.660     79
       1461.85   3.658     79
       1457.09   3.646     75
       1454.71   3.640    115
       1450.31   3.629    141
       1449.95   3.629    140
       1445.37   3.617     90
       1429.98   3.579     95
       1425.58   3.568    135
       1420.46   3.555    110
       1418.26   3.549     79
       1413.86   3.538     74
       1412.76   3.535     75
       1408.55   3.525     53
    

in DMSO-d6



KBr disc



nujol mull