图谱信息 供应商 相关产品
网站主页CAS数据库列表 85-52-9更多图谱邻苯甲酰苯甲酸(85-52-9)核磁图(13CNMR)

邻苯甲酰苯甲酸

产品名称 邻苯甲酰苯甲酸

CAS号85-52-9

分子式C14H10O3

分子量226.23

展开


  • Mass

    MS-NW-0166          
    o-benzoylbenzoic acid
    C14H10O3            (Mass of molecular ion:    226)
    

       Source Temperature: 180 °C
       Sample Temperature:   0 °C
       Direct, 75 eV
    

          18.0       2.0
          27.0       2.7
          28.0       1.7
          38.0       1.5
          39.0      10.6
          45.0       1.3
          50.0      16.8
          51.0      32.1
          52.0       2.3
          53.0       2.1
          62.0       1.5
          63.0       3.4
          64.0       1.3
          65.0      21.7
          66.0       1.4
          74.0       7.0
          75.0       7.0
          76.0      15.3
          77.0      70.5
          78.0      15.1
          87.0       1.2
          92.0       1.1
          93.0      11.1
         104.0       5.3
         105.0     100.0
         106.0       8.0
         115.0       1.3
         121.0       7.2
         126.0       2.0
         127.0       1.4
         149.0      61.6
         150.0       6.9
         151.0       4.9
         152.0      13.5
         153.0       5.8
         154.0       1.0
         165.0       2.0
         180.0       2.5
         181.0      30.0
         182.0      49.7
         183.0       9.1
         184.0       1.0
         197.0       1.3
         198.0       1.1
         209.0       3.5
         226.0      35.1
         227.0       5.5
    

400 MHz in CDCl3


  • 1H NMR 399.65 MHz
    C14 H10 O3 0.039 g : 0.5 ml CDCl3
    o-benzoylbenzoic acid
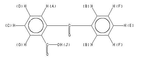
    ChemicalStructure
        Assign.     Shift(ppm)
    A 8.054 B 7.700 C 7.644 D 7.55 E 7.53 F 7.394 G 7.358 J 7.3

         Hz     ppm     Int.
    

       3230.47   8.084     31
       3229.86   8.082     34
       3223.39   8.066    441
       3222.53   8.064    431
       3215.58   8.046    469
       3214.72   8.044    440
       3082.40   7.713    774
       3081.30   7.710    858
       3074.10   7.692    978
       3072.75   7.689    797
       3064.09   7.667    252
       3062.74   7.664    249
       3056.52   7.648    573
       3055.30   7.645    529
       3049.07   7.630    388
       3047.73   7.626    346
       3025.27   7.570    370
       3023.93   7.567    374
       3017.46   7.551    562
       3016.24   7.548    617
       3015.01   7.545    307
       3013.67   7.541    196
       3009.77   7.532    398
       3008.42   7.528    492
       3007.57   7.526    536
       3001.34   7.510    252
       3000.12   7.507    342
       2998.78   7.504    194
       2962.52   7.413    734
       2954.83   7.394   1000
       2948.73   7.379    316
       2947.14   7.375    567
       2944.21   7.367    595
       2943.36   7.365    565
       2936.65   7.349    514
       2935.91   7.347    478
    

in CDCl3



KBr disc



nujol mull



4880 A,200 M,powder