-
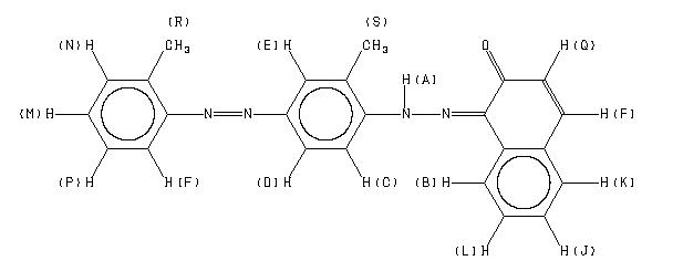
MS-NW-6642 Sudan IV C24H20N4O (Mass of molecular ion: 380)
Source Temperature: 220 °C Sample Temperature: 170 °C Direct, 75 eV
18.0 2.4 27.0 1.5 28.0 2.0 39.0 7.3 41.0 2.6 50.0 1.9 51.0 6.9 52.0 3.2 53.0 1.4 62.0 1.1 63.0 5.8 64.0 2.7 65.0 18.6 66.0 1.7 75.0 2.7 76.0 2.7 77.0 11.3 78.0 5.0 79.0 3.2 88.0 1.4 89.0 11.9 90.0 9.3 91.0 75.3 92.0 7.3 93.0 1.3 101.0 4.7 102.0 3.8 103.0 2.2 104.0 8.1 105.0 3.4 106.0 12.7 107.0 3.2 113.0 1.2 114.0 4.5 115.0 39.2 116.0 4.5 118.0 1.3 119.0 10.7 120.0 1.2 121.0 1.2 127.0 1.3 128.0 7.4 129.0 6.0 130.0 3.3 134.0 1.7 142.0 1.7 143.0 57.7 144.0 9.5 145.0 1.0 152.0 1.0 156.0 2.5 157.0 1.4 158.0 2.5 159.0 2.0 165.0 3.4 166.0 1.4 167.0 1.1 170.0 4.4 171.0 16.6 172.0 2.1 178.0 1.2 179.0 1.2 180.0 2.8 181.0 2.0 182.0 1.0 189.0 1.9 190.0 4.9 190.5 1.0 194.0 2.3 195.0 3.0 196.0 1.9 197.0 2.1 202.0 1.2 203.0 1.2 204.0 1.3 205.0 1.9 206.0 1.4 207.0 1.9 208.0 2.7 209.0 4.6 210.0 2.5 215.0 1.4 216.0 1.5 217.0 1.6 218.0 4.1 219.0 2.0 220.0 1.2 222.0 2.9 223.0 8.3 224.0 8.7 225.0 6.0 226.0 1.2 230.0 1.7 231.0 2.4 232.0 4.8 233.0 7.9 234.0 2.6 244.0 4.1 245.0 2.2 246.0 2.3 247.0 1.0 259.0 1.1 260.0 2.2 261.0 77.8 262.0 15.1 263.0 1.7 275.0 1.1 277.0 1.3 289.0 1.1 349.0 2.4 350.0 1.1 351.0 2.8 352.0 2.6 363.0 2.3 379.0 2.6 380.0 100.0 381.0 28.2 382.0 4.2
400 MHz in CDCl3
-
1H NMR 399.65 MHz C24 H20 N4 O 0.033 g : 0.5 ml CDCl3 Sudan IV 
Assign. Shift(ppm)
A 16.53 B 8.463 C 8.103 D 7.879 E 7.750 F 7.62 J 7.518 K 7.486 L 7.35 M 7.34 N 7.31 P 7.26 Q 6.748 R 2.718 S 2.535 ASSIGNED BY H-H AND C-H COSY. J(F,Q)=9.5HZ
Hz ppm Int.6606.93 16.532 147 3386.72 8.475 124 3378.66 8.455 131 3243.41 8.116 150 3234.86 8.095 180 3153.81 7.892 104 3152.10 7.888 106 3145.02 7.870 87 3143.31 7.866 90 3097.90 7.752 190 3096.92 7.750 180 3048.58 7.629 208 3042.24 7.613 165 3038.82 7.604 183 3011.96 7.537 70 3004.88 7.519 129 2996.34 7.498 154 2988.04 7.477 146 2946.29 7.373 97 2945.56 7.371 102 2938.48 7.353 154 2934.33 7.343 130 2933.11 7.340 136 2931.64 7.336 117 2927.98 7.327 302 2927.00 7.324 296 2920.65 7.309 59 2906.74 7.274 78 2904.54 7.268 72 2898.44 7.253 104 2892.58 7.238 47 2890.38 7.233 42 2701.90 6.761 207 2692.38 6.737 196 1094.48 2.739 40 1093.99 2.738 40 1086.67 2.720 1000 1013.43 2.536 862
更多供应商





