图谱信息 供应商 相关产品
网站主页CAS数据库列表 85-84-7更多图谱荧光黄YJP-1(85-84-7)核磁图(13CNMR)

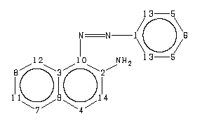
荧光黄YJP-1

产品名称 荧光黄YJP-1

CAS号85-84-7

分子式C16H13N3

分子量247.29

展开



  •     Assign.     Shift(ppm)
    A 8.884 B 7.891 C 7.651 D 7.609 E 7.537 F 7.482 G 7.361 J 7.317 K 6.785
    Spectral Code: 1H NMR : 400 MHz in CDCl3



  •        ppm   Int.  Assign.
    153.68 190 1 138.41 231 2 134.85 183 3 133.64 438 4 129.07 1000 5 128.96 488 6 127.95 477 7 127.65 472 8 127.42 248 9 * 127.03 131 10 * 123.21 480 11 122.06 501 12 121.88 944 13 119.47 473 14
    Spectral Code: 13C NMR : in CDCl3


  • Spectral Code: IR : KBr disc