图谱信息 供应商 相关产品
网站主页CAS数据库列表 86-28-2更多图谱N-乙基咔唑(86-28-2)核磁图(13CNMR)

N-乙基咔唑

产品名称 N-乙基咔唑

CAS号86-28-2

分子式C14H13N

分子量195.26

展开


  • Mass

    MS-NW-2424          
    9-ethylcarbazole
    C14H13N             (Mass of molecular ion:    195)
    

       Source Temperature: 290 °C
       Sample Temperature: 170 °C
       Reservoir, 75 eV
    

          14.0       1.9
          18.0       3.9
          27.0       1.0
          28.0       1.1
          39.0       1.6
          40.0       1.1
          51.0       1.2
          63.0       2.3
          75.0       1.5
          76.0       1.6
          77.0       1.4
          89.0       1.1
          90.0       1.6
          97.5       2.4
         113.0       1.2
         115.0       1.2
         127.0       1.3
         139.0       3.7
         140.0       4.9
         151.0       3.4
         152.0      12.7
         153.0       3.6
         164.0       1.7
         165.0       1.3
         166.0       6.6
         167.0       3.8
         178.0       2.4
         179.0       2.6
         180.0     100.0
         181.0      14.4
         182.0       1.0
         192.0       1.3
         193.0       1.7
         194.0       3.0
         195.0      50.2
         196.0       7.9
    

400 MHz in CDCl3


  • 1H NMR 399.65 MHz
    C14 H13 N 0.039 g : 0.5 ml CDCl3
    9-ethylcarbazole
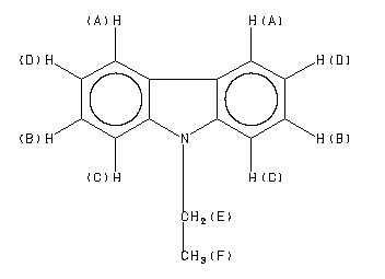
    ChemicalStructure
        Assign.     Shift(ppm)
    A 8.085 B 7.439 C 7.368 D 7.211 E 4.302 F 1.377

         Hz     ppm     Int.
    

       3235.96   8.097    389
       3228.27   8.078    410
       2982.67   7.464    163
       2981.57   7.461    167
       2975.59   7.446    229
       2974.49   7.443    431
       2973.39   7.440    299
       2967.41   7.426    325
       2966.31   7.423    319
       2947.75   7.376    531
       2939.58   7.356    320
       2889.77   7.231    266
       2888.67   7.229    259
       2885.74   7.221     40
       2881.84   7.211    441
       2874.88   7.194    226
       2873.90   7.192    221
       1731.08   4.332    146
       1723.75   4.314    450
       1716.55   4.296    457
       1709.35   4.278    154
        557.98   1.397    504
        550.66   1.378   1000
        543.46   1.360    512
    

in CDCl3



KBr disc



nujol mull