-
MS-KW-0495 2-chlorothioxanthen-9-one C13H7ClOS (Mass of molecular ion: 246)
Source Temperature: 170 °C Sample Temperature: 120 °C Direct, 75 eV
50.0 1.4 62.0 1.1 63.0 2.7 69.0 4.3 74.0 1.8 75.0 2.1 76.0 1.0 78.0 1.2 82.0 1.5 91.0 13.3 91.5 5.0 92.0 1.3 96.0 1.5 105.0 4.8 105.5 2.9 106.0 1.1 107.0 1.5 108.0 2.7 109.0 5.4 110.0 2.4 113.0 1.0 123.0 6.0 123.5 1.2 124.0 2.3 137.0 1.4 138.0 2.9 139.0 13.9 140.0 1.7 142.0 1.2 173.0 1.5 182.0 4.9 183.0 7.8 184.0 1.4 186.0 1.2 211.0 1.7 217.0 1.8 218.0 28.0 219.0 4.6 220.0 10.6 221.0 1.5 245.0 1.4 246.0 100.0 247.0 15.6 248.0 37.6 249.0 5.6 250.0 1.9
400 MHz in CDCl3
-
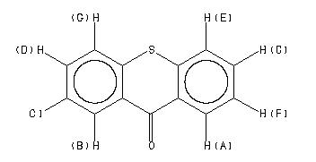
1H NMR 399.65 MHz C13 H7 Cl O S 0.039 g : 0.5 ml CDCl3 2-chlorothioxanthen-9-one 
Assign. Shift(ppm)
A 8.548 B 8.515 C 7.589 D 7.508 E 7.51 F 7.46 G 7.45 ASSIGNED BY C-H COSY.
Hz ppm Int.3421.26 8.561 244 3420.78 8.560 249 3419.80 8.557 271 3419.31 8.556 241 3413.21 8.541 259 3412.72 8.540 261 3411.62 8.537 278 3411.25 8.536 251 3404.66 8.520 539 3404.30 8.519 507 3402.22 8.514 536 3042.72 7.614 136 3041.26 7.610 136 3035.77 7.597 189 3034.55 7.594 295 3033.08 7.590 231 3027.59 7.576 281 3026.12 7.572 271 3007.20 7.525 310 3004.88 7.519 549 3004.27 7.518 430 2998.54 7.503 563 2997.44 7.501 285 2996.22 7.498 716 2987.55 7.476 249 2986.21 7.473 217 2980.47 7.458 269 2979.37 7.455 1000 2974.98 7.444 30 2972.41 7.438 207 2970.70 7.434 410
更多供应商







