图谱信息 供应商 相关产品
网站主页CAS数据库列表 86-48-6更多图谱1-羟基-2-萘甲酸(86-48-6)核磁图(1HNMR)

1-羟基-2-萘甲酸

产品名称 1-羟基-2-萘甲酸

CAS号86-48-6

分子式C11H8O3

分子量188.18

展开


  • Mass

    MS-NW-0349          
    1-hydroxy-2-naphthoic acid
    C11H8O3             (Mass of molecular ion:    188)
    

       Source Temperature: 170 °C
       Sample Temperature: 130 °C
       Direct, 75 eV
    

          18.0       2.2
          39.0       3.0
          44.0       3.5
          50.0       1.8
          51.0       2.2
          53.0       1.3
          56.5       1.1
          57.0       9.8
          57.5       3.2
          58.0       1.0
          62.0       3.2
          63.0       6.5
          64.0       1.5
          65.0       1.6
          71.0      10.4
          71.5       1.4
          74.0       2.2
          75.0       1.9
          77.0       1.5
          85.0       6.6
          85.5       1.1
          86.0       1.8
          87.0       2.9
          88.0       5.7
          89.0       3.2
          94.0       1.4
         103.0       1.0
         113.0       8.5
         114.0      55.4
         115.0      16.6
         116.0       4.4
         142.0       9.9
         143.0       2.6
         144.0      13.0
         145.0       1.5
         170.0     100.0
         171.0      12.9
         172.0       1.3
         188.0      40.0
         189.0       5.1
    

in DMSO_d6

90 MHz in DMSO-d6


  • 1HNMR (400 MHz, DMSO) δ 12.82 (s, 1H), 8.57 (d, J = 8.68 Hz, 1H), 7.99 (t, J = 9.08 Hz, 1H), 7.86(t, J = 7.76 Hz, 1H), 7.56(m, 1H) 7.36(m, 1H) 7.22(m, 1H);


  • 1H NMR 89.56 MHz
    C11 H8 O3 0.044 g : 0.5 ml DMSO-d6
    1-hydroxy-2-naphthoic acid
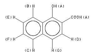
    ChemicalStructure
        Assign.     Shift(ppm)
    A 12.8 B 8.334 C 7.93 D 7.800 E *1 7.67 F *1 7.62 G 7.417

         Hz     ppm     Int.
    

       1146.64  12.804     38
        751.87   8.396    217
        750.93   8.385    170
        749.90   8.374    133
        748.71   8.360    121
        747.85   8.351    105
        744.78   8.316    220
        742.21   8.288    292
        741.44   8.279    164
        738.62   8.248     35
        738.02   8.241     31
        714.61   7.980    125
        712.13   7.952    186
        708.54   7.912    154
        706.49   7.889    237
        705.21   7.875    332
        703.85   7.859    682
        702.14   7.840     99
        699.91   7.815     35
        699.40   7.810     32
        697.95   7.794    130
        695.98   7.772    296
        695.13   7.762   1000
        691.28   7.719    521
        689.32   7.697    400
        687.95   7.682    451
        684.79   7.647    715
        681.54   7.610    304
        680.18   7.595    287
        678.30   7.574    290
        673.43   7.520    110
        671.63   7.500     81
        668.38   7.463    477
        667.70   7.456    515
        659.33   7.362    317
        658.90   7.358    303
    

in DMSO_d6

in DMSO-d6


  • 13CNMR (100MHz, DMSO) δ172.99, 160.78, 135.26, 131.99, 129.19, 128.47, 12.39, 125.02, 123.81, 119.33, 108.52.



KBr disc



nujol mull